SPRUJB6B November 2024 – May 2025 AM2612
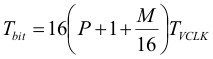
The M field of the BRSR register modifies the integer prescaler P for fine tuning of the baud rate. The M value adds in increments of 1/16 of the P value.
The bit time, Tbit is expressed in terms of the VCLK period TVCLK as follows:
For all P other than 0, and all M,

For P = 0 : Tbit = 32TVCLK
Therefore, the LINCLK frequency is given by:
