ZHCU083I January 2013 – October 2021 TMS320F2802-Q1 , TMS320F28026-Q1 , TMS320F28026F , TMS320F28027-Q1 , TMS320F28027F , TMS320F28027F-Q1 , TMS320F28052-Q1 , TMS320F28052F , TMS320F28052F-Q1 , TMS320F28052M , TMS320F28052M-Q1 , TMS320F28054-Q1 , TMS320F28054F , TMS320F28054F-Q1 , TMS320F28054M , TMS320F28054M-Q1 , TMS320F2806-Q1 , TMS320F28062-Q1 , TMS320F28062F , TMS320F28062F-Q1 , TMS320F28068F , TMS320F28068M , TMS320F28069-Q1 , TMS320F28069F , TMS320F28069F-Q1 , TMS320F28069M , TMS320F28069M-Q1
本节描述的第一个参数是实现 Rs 在线重校准所需的 D 坐标轴电流 (Id) 的注入电流。启用 Rs 在线重校准后,此电流可由估算器模块自身生成,其幅度由用户配置。如前文所述,建议使用的注入电流值约为电机额定电流的 5%,以便从电机返回可测量电流,因而实现准确的 Rs 在线重校准。例如,当电机额定电流为 5A 时,注入电流为 0.25A。以下代码示例将 Rs 在线重校准的注入电流设置为 0.25A:
// Scale factor to convert Amps to per units.
// USER_IQ_FULL_SCALE_CURRENT_A is defined in user.h
_iq sf = _IQ(1.0/USER_IQ_FULL_SCALE_CURRENT_A);
// Value corresponding to 0.25 Amps
_iq RsOnLineCurrent_A = _IQ(0.25);
CTRL_Obj *obj = (CTRL_Obj *)ctrlHandle;
// Scale value from Amps to per units and set through the use of an API
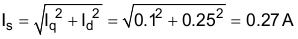
EST_setRsOnLineId_mag_pu(obj->estHandle,_IQmpy(RsOnLineCurrent_A,sf));当 Rs 在线重校准运行时,图 16-8 显示了电流波形的振幅,同时测得在未向电机施加机械负载时的电流值约为 0.25A。可以看出,无负载时的电流为 0.1A,如果针对 Rs 在线重校准添加 0.25A 的电流,则峰值电流为 
图 15-8 针对 Rs 在线重校准添加 0.25A 电流的结果随着电机负载的增加,Rs 在线重校准所需的额外电流按比例减小,如图 16-9 所示。这种情况下的负载电流为 0.35A,仍使用 0.25A 的 Rs 在线注入电流。使用上一个示例中的公式,计算出最大电流为:
图 15-9 针对 Rs 在线重校准增加负载的结果还有示例的电机额定电流为 10A,则 Rs 在线注入电流为 0.5A。使用不同电流值的同一代码示例如下所示:
// Scale factor to convert Amps to per units.
// USER_IQ_FULL_SCALE_CURRENT_A is defined in user.h
_iq sf = _IQ(1.0/USER_IQ_FULL_SCALE_CURRENT_A);
// Value corresponding to 0.5 Amps
_iq RsOnLineCurrent_A = _IQ(0.5);
CTRL_Obj *obj = (CTRL_Obj *)ctrlHandle;
// Scale value from Amps to per units and set through the use of an API
EST_setRsOnLineId_mag_pu(obj->estHandle,_IQmpy(RsOnLineCurrent_A,sf));与之前的示例类似,可以使用相同的公式计算最大电流值:

本示例中的相应示波器图形如图 16-10 所示。
图 15-10 启用 Rs 在线重校准时的最大电流通常,如果考虑在电机满载的情况下,电机的电流为 10A,针对 Rs 在线重校准添加电机电流的 5%,则最大总电流为:

即,提供给电机的额外电流仅为 0.0125A,仅相当于额定电流的 0.125%。从额外发热的角度来看,这个电流通常不会对电机产生影响。
例如,电机的额定电流为 2.2A,使用额定电流的 5% 作为 Rs 在线电流,即 2.2*0.05 = 0.11A。额外电流仅为额定电流的 0.125%,即 2.2*0.00125 = 0.0028A。观察启用 Rs 在线重校准之前和之后的示波器图形,甚至无法注意到额外电流 (图 16-11)。读者同样需要注意的是,示波器的垂直方向已从 500mA/ 放大至 2.00A/,因为出于电机机械负载等原因导致电流的振幅远远高于之前。
图 15-11 电机电流 2.2A 与 5% Rs 在线电流