ZHCAD52 September 2023 AM2431 , AM2432 , AM2434 , AM2631 , AM2631-Q1 , AM2632 , AM2632-Q1 , AM2634 , AM2634-Q1 , AM263P2-Q1 , AM263P4-Q1 , AM2732 , AM2732-Q1
在温度扫描期间,温度扫描程序在每个 ThermalAir 输出温度下保持 10 分钟。而保温时间使环境温度和结温达到稳定。由于从 -50℃ 递增到 165℃ 有 44 个 10 分钟保温步骤,因此每次测量扫描大约有 26,400 秒或大约 2,640 个 10 秒的间隔。日志记录脚本也每 10 秒测量一次环境温度 (Tamb)、盖子温度 (Tlid) 和结温 (TSENSE0),从而得出图 5-6。
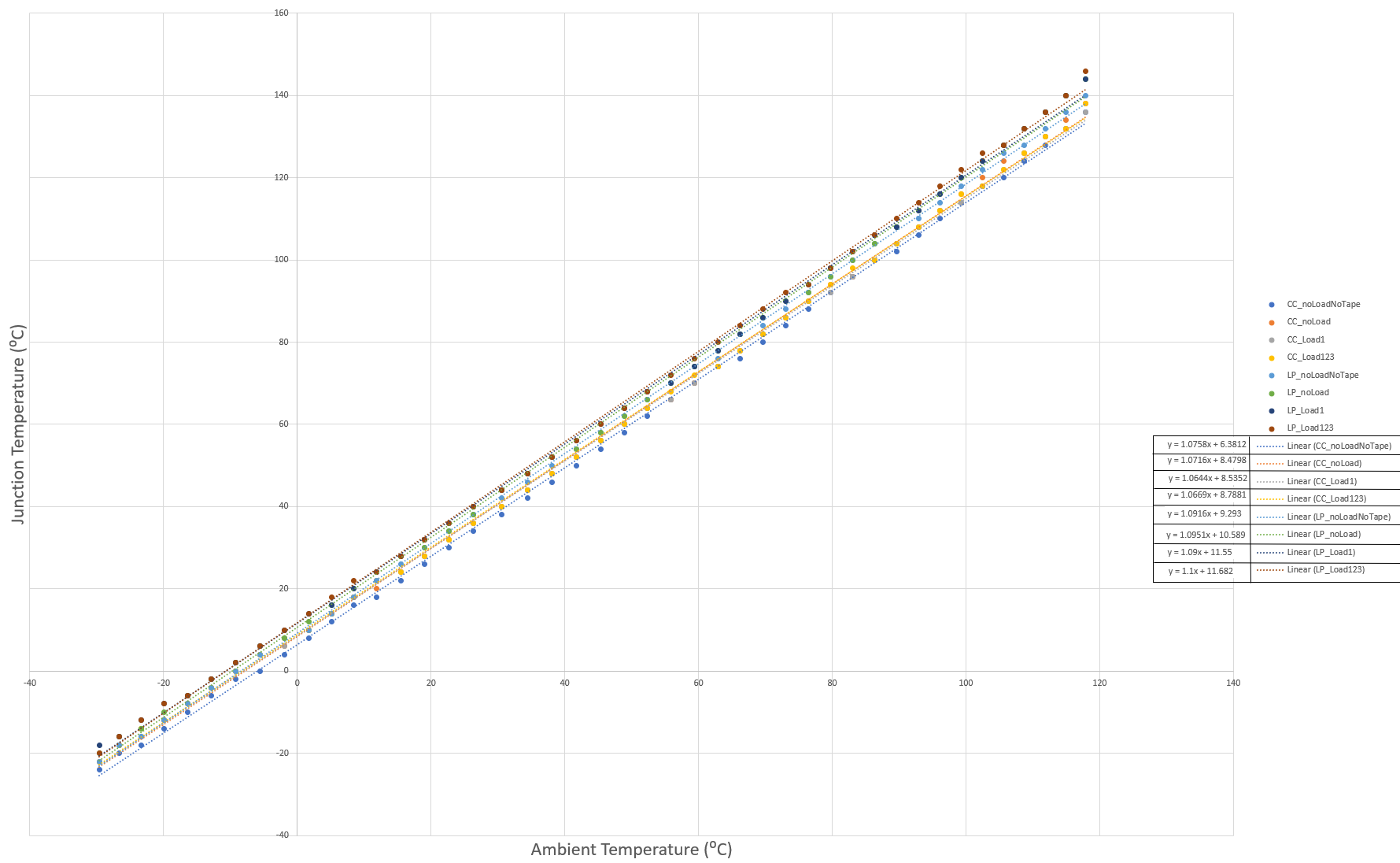
图 5-6 无负载时的 AM263x 控制卡温度由于图中温度上升区域不如完全浸渍的温度那么重要,这里创建了图 5-7 和表 5-5 来更准确地表示给定环境温度下的平台结温读数。
图 5-7 AM263x 控制卡和 LaunchPad 在不同环境温度下的结温| ThermalAir 输出 (℃) | 环境温度(℃) | TMDSCNCD263 在 TSENSE0 处的结温 | LP-AM263 在 TSENSE0 处的结温 | ||||||
|---|---|---|---|---|---|---|---|---|---|
| 无负载且无 Kapton 胶带 (℃) | 无负载 (℃) | 负载内核 1 (℃) | 负载内核 1/2/3 (℃) | 无负载且无 Kapton 胶带 (℃) | 无负载 (℃) | 负载内核 1 (℃) | 负载内核 1/2/3 (℃) | ||
| -50 | -29.6 | -24 | -22 | -22 | -22 | -22 | -20 | -18 | -20 |
| -45 | -26.6 | -20 | -18 | -18 | -18 | -18 | -16 | -16 | -16 |
| -40 | -23.3 | -18 | -14 | -16 | -14 | -16 | -14 | -12 | -12 |
| -35 | -19.9 | -14 | -12 | -12 | -12 | -12 | -10 | -8 | -8 |
| -30 | -16.4 | -10 | -8 | -8 | -8 | -8 | -6 | -6 | -6 |
| -25 | -12.9 | -6 | -4 | -4 | -4 | -4 | -2 | -2 | -2 |
| -20 | -9.3 | -2 | 0 | 0 | 0 | 0 | 2 | 2 | 2 |
| -15 | -5.5 | 0 | 4 | 4 | 4 | 4 | 6 | 6 | 6 |
| -10 | -1.9 | 4 | 6 | 6 | 8 | 8 | 8 | 10 | 10 |
| -5 | 1.7 | 8 | 10 | 10 | 10 | 10 | 12 | 14 | 14 |
| 0 | 5.1 | 12 | 14 | 14 | 14 | 14 | 16 | 16 | 18 |
| 5 | 8.4 | 16 | 18 | 18 | 18 | 18 | 20 | 20 | 22 |
| 10 | 11.9 | 18 | 20 | 22 | 22 | 22 | 24 | 24 | 24 |
| 15 | 15.4 | 22 | 24 | 24 | 24 | 26 | 28 | 28 | 28 |
| 20 | 19.0 | 26 | 28 | 28 | 28 | 30 | 30 | 32 | 32 |
| 25 | 22.7 | 30 | 32 | 32 | 32 | 34 | 34 | 36 | 36 |
| 30 | 26.3 | 34 | 36 | 36 | 36 | 38 | 38 | 40 | 40 |
| 35 | 30.6 | 38 | 40 | 40 | 40 | 42 | 44 | 44 | 44 |
| 40 | 34.4 | 42 | 44 | 44 | 44 | 46 | 48 | 48 | 48 |
| 45 | 38.1 | 46 | 48 | 48 | 48 | 50 | 52 | 52 | 52 |
| 50 | 41.8 | 50 | 52 | 52 | 52 | 54 | 54 | 56 | 56 |
| 55 | 45.4 | 54 | 56 | 56 | 56 | 58 | 58 | 60 | 60 |
| 60 | 48.9 | 58 | 60 | 60 | 60 | 62 | 62 | 64 | 64 |
| 65 | 52.4 | 62 | 64 | 64 | 64 | 66 | 66 | 68 | 68 |
| 70 | 55.9 | 66 | 66 | 66 | 68 | 70 | 70 | 70 | 72 |
| 75 | 59.4 | 70 | 70 | 70 | 72 | 74 | 74 | 74 | 76 |
| 80 | 62.9 | 74 | 74 | 74 | 74 | 76 | 78 | 78 | 80 |
| 85 | 66.2 | 76 | 78 | 78 | 78 | 82 | 82 | 82 | 84 |
| 90 | 69.7 | 80 | 82 | 82 | 82 | 84 | 86 | 86 | 88 |
| 95 | 73.0 | 84 | 86 | 86 | 86 | 88 | 90 | 90 | 92 |
| 100 | 76.4 | 88 | 90 | 90 | 90 | 92 | 92 | 94 | 94 |
| 105 | 79.8 | 92 | 94 | 92 | 94 | 96 | 96 | 98 | 98 |
| 110 | 83.1 | 96 | 96 | 96 | 98 | 100 | 100 | 102 | 102 |
| 115 | 86.4 | 100 | 100 | 100 | 100 | 104 | 104 | 106 | 106 |
| 120 | 89.6 | 102 | 104 | 104 | 104 | 108 | 108 | 108 | 110 |
| 125 | 92.9 | 106 | 108 | 108 | 108 | 110 | 112 | 112 | 114 |
| 130 | 96.1 | 110 | 112 | 112 | 112 | 114 | 116 | 116 | 118 |
| 135 | 99.3 | 114 | 116 | 114 | 116 | 118 | 120 | 120 | 122 |
| 140 | 102.5 | 118 | 120 | 118 | 118 | 122 | 124 | 124 | 126 |
| 145 | 105.6 | 120 | 124 | 122 | 122 | 126 | 128 | 128 | 128 |
| 150 | 108.7 | 124 | 126 | 126 | 126 | 128 | 132 | 132 | 132 |
| 155 | 111.9 | 128 | 130 | 130 | 130 | 132 | 136 | 136 | 136 |
| 160 | 115.0 | 132 | 134 | 132 | 132 | 136 | 140 | 140 | 140 |
| 165 | 117.9 | 136 | 138 | 136 | 138 | 140 | 144 | 144 | 146 |