ZHCSIA0C May 2018 – September 2025 TAS3251
PRODUCTION DATA
图 7-24 PEQ 和 BQ 增益缩放块BQ 系数格式如下所示:第一个 BQ 的 B0 = 5.x、B1 = 6.x、B2 = 5.x、A1 = 2.x 且 A2 = 1.x。其余 BQ 具有以下格式:B0 = 1.x、B1 = 2.x、B2 = 1.x、A1 = 2.x 且 A2 = 1.x。此格式可保持尽可能高的分辨率和噪声性能。1.31 格式限制了在 BQ 中执行高增益的能力,因此,需要对限制条件进行增益补偿。在生成 BQ 系数时,应通过实现增益补偿,确保所有 BQ 系数都不大于 1。增益补偿可减小 BQ 系数增益,以确保所有 BQ 系数小于 1。降低的增益随后将重新应用到后续的增益缩放块中。
在实施 表 7-25 中所示的 BQ 归一化后,增益补偿使用 B0_DSP、B1_DSP 和 B2_DSP 的最大值。所有 B 系数都将除以最大 B 系数值,然后再乘以 0.999999999534339(这是最接近 1 的 32 位二进制补码数)。对 PEQ 块中的每个 BQ 完成以下计算:





上述计算确保所有 DSP BQ 系数均采用 1.31 格式。在 BQ 1.31 格式下使用的较低增益,是在增益缩放块中进行补偿的结果。以下计算会对每个通道单独进行,。
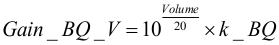
然后,计算得到的 k_BQ 补偿值将以 8.24 格式应用于 BQ 增益缩放。BQ 增益缩放也可用于 DRC 之前的音量控制。该块可被视为 BQ 增益缩放和音量增益块。当 BQ 增益缩放块用于音量控制时,必须按如下公式计算系数值:

其中
BQ 增益缩放系数位于簿 0x8C、页 0x21 寄存器 0x4C 中(对于左通道)和寄存器 0x50 中。
旁路 EQ 多路复用器允许用户旁路所有处理。旁路 EQ 多路复用器位于页 0x21、寄存器 0x64 中。Gang 左/右多路复用器会强制左通道处理与右通道处理相同。Gang 左/右多路复用器位于页 0x21、寄存器 0x68 中。