ZHCAAB9E February 2021 – March 2021 TPS1H000-Q1 , TPS1H100-Q1 , TPS1H200A-Q1 , TPS1HA08-Q1 , TPS25200-Q1 , TPS27S100 , TPS2H000-Q1 , TPS2H160-Q1 , TPS2HB16-Q1 , TPS2HB35-Q1 , TPS2HB50-Q1 , TPS4H000-Q1 , TPS4H160-Q1
回看电容器充电公式,我们能够预测浪涌电流限制期间的充电曲线。通过重新变换Equation16 来计算充电时间,我们便得到Equation17。

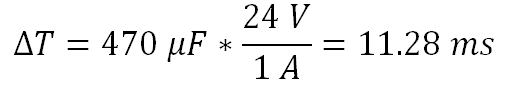
Equation18 表明,Equation17 对于图 3-9 而言是准确的。

Equation17 显示,电流限制设定点的幅度越低,为负载电容充电所需的时间就越长。重要的是需要调整此电流限制设定点,以便在不显著延长充电时间的情况下在该设定点与安全限制电流之间实现合理平衡。这种平衡必须通过了解具体的应用要求(例如系统启动时间)来确定。