ZHCAAB9E February 2021 – March 2021 TPS1H000-Q1 , TPS1H100-Q1 , TPS1H200A-Q1 , TPS1HA08-Q1 , TPS25200-Q1 , TPS27S100 , TPS2H000-Q1 , TPS2H160-Q1 , TPS2HB16-Q1 , TPS2HB35-Q1 , TPS2HB50-Q1 , TPS4H000-Q1 , TPS4H160-Q1
电感性负载力图在一个方向上保持连续的电流流动。当将感性负载关断后,电感性负载会反转所施加电压的极性,以防止电流立即流失。这说明,如果电感性负载上的电压在导通阶段为正,则在移除所施加的电源后将变为负。
在开关断开之前的那一刻,负载电流 I0 等于 ILOAD,DC(可根据 Equation31 计算得出)。在开关断开之后的那一刻,电感器电流开始以连续函数的形式从 I0 衰减到零。当 dI/dT 为负且未施加 VBAT 时,电感性负载上的电压将反转,并且在高侧开关输出端将出现负电压。图 4-3 展示了这一过程
图 4-3 电感性负载关断阶段应用基尔霍夫电压定律可得出Equation33。

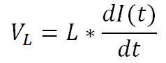
其中,VL 为负载电感元件上的电压,VR 为负载电阻元件上的电压,VCLAMP 为瞬态电压尖峰期间开关 FET VDS 上的电压,VBAT 为电源电压。Equation34 和Equation35 所示为用于电阻器和电感器的欧姆定律:


将它们代入Equation33 中得到Equation36:

调整Equation36 以得到Equation37,这是负载电流的一阶微分方程。

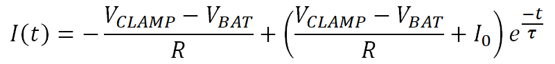
Equation38 对此进行了求解。

其中,I0 为开关最初断开时的电流。Equation38 表明电流以负斜率和时间常数 τ = L/R 呈指数衰减。该公式用作计算电感性负载退磁能量的基础。电流有两个分量:公式左侧由稳态电流贡献,右侧由通过指数时间因子进行调整的瞬态电流贡献。当总电流为零且两个分量相等时,负载将完全退磁。
请注意,Equation38 仅从时间 t = 0 起有效,直到负载完全退磁。该退磁时间将在下一部分中计算。