ZHCSNC2A March 2021 – January 2024 TPS62901
PRODUCTION DATA
MODE/S-CONF 引脚配置为 AEE 模式时,通过自动调整转换器的开关频率,TPS62901 在整个输入电压和输出电压范围内提供高效率。这是通过设置转换器的预测关闭时间来实现的。开关模式转换器的效率取决于转换期间的功率损耗。如果 VOUT 降低和/或 VIN 升高(如方程式 4 所示),效率会下降。为在整个占空比(VOUT/VIN 比)范围内保持高效率,调整开关频率时需维持纹波电流。

TPS62901 中的 AEE 功能可根据输入电压和输出电压调节省电模式下的导通时间 (TON),从而保持非凡效率。稳态运行的导通时间可通过方程式 5 估算得出:

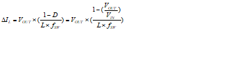
方程式 6 展示了电感纹波电流、开关频率和占空比之间的关系。

通过以下方法提高了效率:降低开关损耗并在不同的占空比下保持高效率,同时纹波电流幅度保持足够低以提供完整的输出电流,而不会达到电流限制。AEE 功能可在各种占空比下提高效率,尤其适用于固定频率转换器效率大幅下降情况下 VOUT 值较低时。此外,该功能可补偿高 VIN 到低 VOUT 转换的超小占空比,这可限制其他拓扑中的控制范围。