ZHCU869 February 2021
LLC 拓扑已广泛用于电信和服务器电源。LLC 拓扑可以通过改变频率来拓宽增益范围。LLC 拓扑通常适用于为宽输入直流电压范围生成恒定输出电压,或为恒定输入直流电压生成可变输出电压。频率范围越宽,LLC 设计就越不同。本设计中的直流/直流级必须支持 20 ms 的保持时间。LLC 拓扑可以在谐振频率下实现初级 MOSFET 的 ZVS 和次级二极管的 ZCS。考虑到效率,将转换器设计为在略低于满载谐振频率的频率下工作。
可以自行构建变压器,也可以从 Wurth 购买变压器。详细规格可在 Wurth 网站上找到,P/N 750344508。
可以自行构建谐振电感器,也可以从 Wurth 购买谐振电感器。详细规格可在 Wurth 网站上找到,P/N 750344650/
电感器端子交流电压可表示为:

该电容器以高频率承载全初级电流。需要使用低损耗因数器件,以防止器件过热。
经过谐振电容器的交流电压可通过其阻抗乘以电流计算得出。




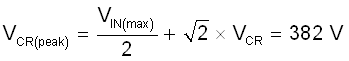
各 MOSFET 检测输入电压作为其最大施加电压。选择 MOSFET 额定电压为最大恒压电压的 1.5 倍。

选择 MOSFET 额定电流为最大初级侧 RMS 电流的 1.1 倍。

对于在 ZVS 中工作的 LLC 功率级,导通损耗可以忽略不计。必须根据 RDS(on) 和 Coss 选择 MOSFET。优化 Coss有助于最大限度地缩短实现 ZVS 所需的死区时间,从而最大限度地减少占空比损耗。UCC256403 的自适应死区时间优化功能有助于实现占空比的最大化,从而提高效率。
通过以下公式确定次级侧整流器额定电压:

通过以下公式确定次级侧 MOSFET 的额定电流:

本参考设计采用 150V MOS (具有低 RDS(on) (7.6mΩ) 和 Qg (21nC))。极低的 RDS(on) 有助于降低同步整流器的整体损耗。