ZHCABW8A June 2020 – November 2022 LM5156 , LM5156-Q1 , LM51561 , LM51561-Q1 , LM51561H , LM51561H-Q1 , LM5156H , LM5156H-Q1
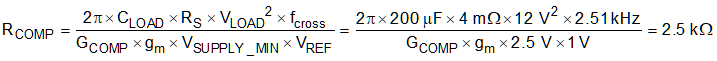
RCOMP 阻值会直接影响控制环路的交叉频率。交叉频率越高,控制环路对瞬态条件的反应就越快。已知所需的环路交叉频率为 2.51kHz,RCOMP 根据Equation25 计算得出。

其中
RCOMP 选择为 2.49kΩ。降低 RCOMP 电阻值会降低交叉频率,但有助于确保控制环路在指定的电源电压范围内保持稳定。