ZHCSLA9H April 1997 – October 2024 UC1842 , UC1843 , UC1844 , UC1845 , UC2842 , UC2843 , UC2844 , UC2845 , UC3842 , UC3843 , UC3844 , UC3845
PRODUCTION DATA
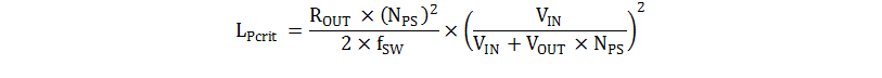
补偿固定频率反激式的第一步是验证转换器是连续导通模式 (CCM),还是不连续导通模式 (DCM)。 如果初级电感 LP 大于 DCM/CCM 边界模式工作的电感,称为临界电感或 LPcrit,则转换器在 CCM 中工作:


对于整个输入电压范围,所选电感器的值大于临界电感器的值。所以,转换器以 CCM 工作,补偿环路需要基于 CCM 反激式公式进行设计。
电流-电压转换是通过外部的接地基准的电流检测电阻 RCS 和 2R/R 的内部电阻分压器完成的,该分压器设置内部电流检测增益,即 ACS = 3。 请注意,这些内部电阻器的确切值并不关键,但 IC 对电阻分压比提供了严格的控制,因此,无论实际电阻值如何变化,它们之间的相对值都会保持不变。
方程式 25 中所示的峰值电流模式控制 CCM 反激式转换器的固定频率电压控制环路的直流开环增益 GO 通过首先使用方程式 25 中计算的输出负载 ROUT、初级与次级匝数比 NPS、最大占空比 D 来近似计算得出。

在方程式 25 中,D 用方程式 26 计算,τL 用方程式 27 计算,M 用方程式 28 计算。



对于这种设计,输出电压 VOUT 为 12V、48W 的转换器与输出负载 ROUT(满载时等于 3Ω)有关。最大占空比计算为 0.627,电流检测电阻 RCS 为 0.75Ω,初级与次级匝数比 NPS 为 10,开环增益计算为 3.082 或 9.776dB。
CCM 反激式有两个相关的零点。ESR 和输出电容为功率级贡献了一个左半平面零点 ωESRz,该零点的频率 fESRz 由方程式 30 计算。


当输出电容为 2200µF 且总 ESR 为 43mΩ 时,fESRz 零点位于 1.682kHz。
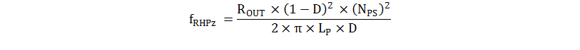
CCM 反激式转换器在传递函数的右半平面 RHP 中有一个零点。RHP 零点与左半平面零点相似,随着频率增加,具有相同的 20dB/十倍频程上升增益幅度,但 RHP 零点增加了 90° 相位滞后,而不是超前。这种相位滞后往往会限制整个环路带宽。RHP 零点 ωRHPz 的频率位置 fRHPz 是输出负载、占空比、初级电感 LP 和初级到次级侧匝数比 NPS 的函数。


输入电压越高,负载越轻,右半平面零点频率就越高。通常,设计需要考虑最低右半平面零点频率的最坏情况,并且必须在最小输入和最大负载条件下对转换器进行补偿。初级电感为 1.5mH,在 75V 直流输入下,RHP 零点频率 fRHPz 在最大占空比、满载时等于 7.07kHz。
功率级有一个主导极点 ωP1,它位于感兴趣的区域中,处在较低的频率 fP1 处,与占空比 D、输出负载和输出电容有关,用方程式 34 计算。还有一个双极点放在转换器开关频率的一半处,fP2 用方程式 36 计算。在本例中,极点 fP1 位于 40.37Hz,而 fP2 位于 55kHz。



