ZHCSKT8C February   2020  – December 2024 CC3235MODAS , CC3235MODASF , CC3235MODS , CC3235MODSF

PRODUCTION DATA  

  1.   1
  2. 特性
  3. 应用
  4. 说明
  5. 功能方框图
  6. 器件比较
    1. 5.1 相关产品
  7. 引脚配置和功能
    1. 6.1 CC3235MODx 和 CC3235MODAx 引脚图
    2. 6.2 引脚属性和引脚多路复用
      1. 6.2.1 模块引脚说明
    3. 6.3 信号说明
    4. 6.4 模拟和数字多路复用引脚的驱动强度和复位状态
    5. 6.5 芯片上电后、复位释放之前的焊盘状态
    6. 6.6 未使用引脚的连接
  8. 规格
    1. 7.1  绝对最大额定值
    2. 7.2  ESD 等级
    3. 7.3  建议运行条件
    4. 7.4  电流消耗(CC3235MODS 和 CC3235MODAS)
      1.      21
      2.      22
    5. 7.5  电流消耗(CC3235MODSF 和 CC3235MODASF)
      1.      24
      2.      25
    6. 7.6  2.4GHz 频带的 TX 功率控制
    7. 7.7  5GHz 的 TX 功率控制
    8. 7.8  欠压和断电条件
    9. 7.9  GPIO 引脚的电气特性
      1. 7.9.1 引脚内部上拉和下拉电气特性 (25°C)
    10. 7.10 CC3235MODAx 天线特性
    11. 7.11 WLAN 接收器特性
      1.      33
      2.      34
    12. 7.12 WLAN 发送器特性
      1.      36
      2.      37
    13. 7.13 BLE 与 WLAN 共存要求
    14. 7.14 复位要求
    15. 7.15 MOB 和 MON 封装的热阻特性
    16. 7.16 时序和开关特性
      1. 7.16.1 上电时序
      2. 7.16.2 下电时序
      3. 7.16.3 器件复位
      4. 7.16.4 从休眠时序中唤醒
      5. 7.16.5 外设时序
        1. 7.16.5.1  SPI
          1. 7.16.5.1.1 SPI 主模式
          2. 7.16.5.1.2 SPI 从模式
        2. 7.16.5.2  I2S
          1. 7.16.5.2.1 I2S 发送模式
          2. 7.16.5.2.2 I2S 接收模式
        3. 7.16.5.3  GPIO
          1. 7.16.5.3.1 GPIO 输入转换时间参数
        4. 7.16.5.4  I2C
        5. 7.16.5.5  IEEE 1149.1 JTAG
        6. 7.16.5.6  ADC
        7. 7.16.5.7  摄像头并行端口
        8. 7.16.5.8  UART
        9. 7.16.5.9  外部闪存接口
        10. 7.16.5.10 SD 主机
        11. 7.16.5.11 计时器
  9. 详细说明
    1. 8.1  概述
    2. 8.2  功能方框图
    3. 8.3  Arm Cortex-M4 处理器内核子系统
    4. 8.4  Wi-Fi 网络处理器子系统
      1. 8.4.1 WLAN
      2. 8.4.2 网络堆栈
    5. 8.5  安全性
    6. 8.6  FIPS 140-2 1 级认证
    7. 8.7  电源管理子系统
      1. 8.7.1 VBAT 宽电压连接
    8. 8.8  低功耗工作模式
    9. 8.9  存储器
      1. 8.9.1 内部存储器
        1. 8.9.1.1 SRAM
        2. 8.9.1.2 ROM
        3. 8.9.1.3 闪存存储器
        4. 8.9.1.4 存储器映射
    10. 8.10 恢复出厂默认配置
    11. 8.11 引导模式
      1. 8.11.1 引导模式列表
    12. 8.12 无主机模式
    13. 8.13 器件资格认证
      1. 8.13.1 FCC 认证和声明
      2. 8.13.2 IC/ISED 认证和声明
      3. 8.13.3 ETSI/CE 认证
      4. 8.13.4 MIC 认证
    14. 8.14 模块标识
    15. 8.15 终端产品标示
    16. 8.16 面向最终用户的手册信息
  10. 应用、实施和布局
    1. 9.1 典型应用
      1. 9.1.1 与 BLE/2.4GHz 无线电共存
      2. 9.1.2 天线选择(仅限 CC3235MODx)
      3. 9.1.3 典型应用原理图 (CC3235MODx)
      4. 9.1.4 典型应用原理图 (CC3235MODAx)
    2. 9.2 器件连接和布局基本准则
      1. 9.2.1 电源去耦和大容量电容
      2. 9.2.2 复位
      3. 9.2.3 未使用的引脚
    3. 9.3 PCB 布局指南
      1. 9.3.1 总体布局建议
      2. 9.3.2 CC3235MODx 射频布局建议
        1. 9.3.2.1 天线放置和布线
        2. 9.3.2.2 传输线注意事项
      3. 9.3.3 CC3235MODAx 射频布局建议
  11. 10环境要求和 SMT 规格
    1. 10.1 PCB 折弯
    2. 10.2 操作环境
      1. 10.2.1 端子
      2. 10.2.2 下降
    3. 10.3 贮存条件
      1. 10.3.1 打开防潮袋前
      2. 10.3.2 防潮袋打开
    4. 10.4 PCB 组装指南
      1. 10.4.1 PCB 焊盘图案和散热过孔
      2. 10.4.2 SMT 组装建议
      3. 10.4.3 PCB 表面光洁度要求
      4. 10.4.4 焊接模板
      5. 10.4.5 封装布局
      6. 10.4.6 焊点检查
      7. 10.4.7 返修和更换
      8. 10.4.8 焊点空隙
    5. 10.5 烘烤条件
    6. 10.6 回流焊条件
  12. 11器件和文档支持
    1. 11.1 开发工具和软件
    2. 11.2 固件更新
    3. 11.3 器件命名规则
    4. 11.4 文档支持
    5. 11.5 相关链接
    6. 11.6 支持资源
    7. 11.7 商标
    8. 11.8 静电放电警告
    9. 11.9 术语表
  13. 12修订历史记录
  14. 13机械、封装和可订购信息
    1. 13.1 机械、焊盘和焊锡膏制图
    2. 13.2 封装选项附录
      1. 13.2.1 封装信息
      2. 13.2.2 卷带包装信息
      3. 13.2.3 CC3235MODx 卷带规格
      4. 13.2.4 CC3235MODAx 卷带规格

封装选项

请参考 PDF 数据表获取器件具体的封装图。

机械数据 (封装 | 引脚)
  • MOB|63
散热焊盘机械数据 (封装 | 引脚)
订购信息

2.4GHz 频带的 TX 功率控制

CC3235MODS CC3235MODAS 具有多个用于在需要时修改器件输出功率的选项。对于 2.4GHz 频带,可以使用全局 TX 功率级别设置来降低全局级别的总输出功率。此外,2.4GHz 频带允许用户根据通道、区域(2)和调制速率,通过 ImageCreator 输入额外的退避(3)(4)(5)(更多详细信息,请参阅配备 ImageCreator 的 Uniflash 用户指南)。

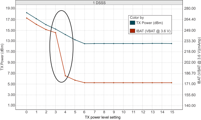
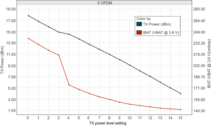
图 7-1图 7-2图 7-3 分别展示了 CC3235MODS 模块在 1 DSSS、6 OFDM 和 54 OFDM 调制下的 TX 功率和 IBAT 与 TX 功率级别设置间的关系。对于 CC3235MODSF 模块,IBAT 电流会增加约 10mA 至 15mA,具体取决于传输速率。TX 功率级别保持不变。4

图 7-1 中,圆圈包含的面积表示从 TX 功率级别 3 转换到级别 4 期间电流显著减小。对于较低范围要求(14dBm 输出功率),TI 建议使用 TX 功率级别 4 来减小电流。

 

CC3235MODS CC3235MODSF CC3235MODAS CC3235MODASF TX 功率和 IBAT 与 TX 功率级别设置间的关系 (1 DSSS)图 7-1 TX 功率和 IBAT 与 TX 功率级别设置间的关系 (1 DSSS)
CC3235MODS CC3235MODSF CC3235MODAS CC3235MODASF TX 功率和 IBAT 与 TX 功率级别设置间的关系 (6 OFDM)图 7-2 TX 功率和 IBAT 与 TX 功率级别设置间的关系 (6 OFDM)

 

 

CC3235MODS CC3235MODSF CC3235MODAS CC3235MODASF TX 功率和 IBAT 与 TX 功率级别设置间的关系 (54 OFDM)图 7-3 TX 功率和 IBAT 与 TX 功率级别设置间的关系 (54 OFDM)
支持 FCC、IC/ISED、ETSI/CE、MIC 和 SRRC
退避范围为 –6dB 至 +6dB,以 0.25dB 为增量。
退避率分为 11b 速率、高调制速率(MCS7、54 OFDM 和 48 OFDM)和较低调制速率(所有其他速率)。
CC3135MOD 和 CC3135 IC TX 功率级别之间会存在差异。