SPRUIZ1B July 2023 – August 2024 TMS320F28P650DH , TMS320F28P650DK , TMS320F28P650SH , TMS320F28P650SK , TMS320F28P659DH-Q1 , TMS320F28P659DK-Q1 , TMS320F28P659SH-Q1
The superfractional divider is available in SCI asynchronous mode (idle-line and address-bit mode). Building on the 4-bit fractional divider M (BRS[27:24]), the superfractional divider uses an additional 3-bit modulating value (see Table 37-2). The bits with a 1 in the table have an additional VCLK period added to the Tbit. If the character length is more than 10, then the modulation table is a rolled-over version of the original table (Table 37-1), as shown in Table 37-2.
The baud rate varies over a data field to average according to the BRS[30:28] value by a “d” fraction of the peripheral internal clock: 0<d<1. See Figure 37-5 for a simple Average “d’ calculation based on “U” value (BRS[30:28]).
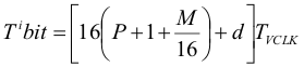
The instantaneous bit time is expressed in terms of TVCLK as follows:
For all P other than 0, and all M and d (0 or 1),

For P = 0, Tbit = 32TVCLK
The averaged bit time is expressed in terms of TVCLK as follows:
For all P other than 0, and all M and d (0<d<1),

For P = 0, Tbit = 32TVCLK
| Normal Configuration = Start Bit + 8 Data Bits + Stop Bit | ||||||||||
|---|---|---|---|---|---|---|---|---|---|---|
| BRS[30:28] | Start Bit | D[0] | D[1] | D[2] | D[3] | D[4] | D[5] | D[6] | D[7] | Stop Bit |
| 0h | 0 | 0 | 0 | 0 | 0 | 0 | 0 | 0 | 0 | 0 |
| 1h | 1 | 0 | 0 | 0 | 0 | 0 | 0 | 0 | 1 | 0 |
| 2h | 1 | 0 | 0 | 0 | 1 | 0 | 0 | 0 | 1 | 0 |
| 3h | 1 | 0 | 1 | 0 | 1 | 0 | 0 | 0 | 1 | 0 |
| 4h | 1 | 0 | 1 | 0 | 1 | 0 | 1 | 0 | 1 | 0 |
| 5h | 1 | 1 | 1 | 0 | 1 | 0 | 1 | 0 | 1 | 1 |
| 6h | 1 | 1 | 1 | 0 | 1 | 1 | 1 | 0 | 1 | 1 |
| 7h | 1 | 1 | 1 | 1 | 1 | 1 | 1 | 0 | 1 | 1 |
| Maximum Configuration = Start Bit + 8 Data Bits + Addr Bit + Parity Bit + Stop Bit 0 + Stop Bit 1 | |||||||||||||
|---|---|---|---|---|---|---|---|---|---|---|---|---|---|
| BRS[30:28] | Start Bit | D[0] | D[1] | D[2] | D[3] | D[4] | D[5] | D[6] | D[7] | Addr | Parity | Stop0 | Stop1 |
| 0h | 0 | 0 | 0 | 0 | 0 | 0 | 0 | 0 | 0 | 0 | 0 | 0 | 0 |
| 1h | 1 | 0 | 0 | 0 | 0 | 0 | 0 | 0 | 1 | 0 | 0 | 0 | 0 |
| 2h | 1 | 0 | 0 | 0 | 1 | 0 | 0 | 0 | 1 | 0 | 0 | 0 | 1 |
| 3h | 1 | 0 | 1 | 0 | 1 | 0 | 0 | 0 | 1 | 0 | 1 | 0 | 1 |
| 4h | 1 | 0 | 1 | 0 | 1 | 0 | 1 | 0 | 1 | 0 | 1 | 0 | 1 |
| 5h | 1 | 1 | 1 | 0 | 1 | 0 | 1 | 0 | 1 | 1 | 1 | 0 | 1 |
| 6h | 1 | 1 | 1 | 0 | 1 | 1 | 1 | 0 | 1 | 1 | 1 | 0 | 1 |
| 7h | 1 | 1 | 1 | 1 | 1 | 1 | 1 | 0 | 1 | 1 | 1 | 1 | 1 |
| Minimum Configuration = Start Bit + 1 Data Bit + Stop Bit | |||
|---|---|---|---|
| BRS[30:28] | Start Bit | D[0] | Stop Bit |
| 0h | 0 | 0 | 0 |
| 1h | 1 | 0 | 0 |
| 2h | 1 | 0 | 0 |
| 3h | 1 | 0 | 1 |
| 4h | 1 | 0 | 1 |
| 5h | 1 | 1 | 1 |
| 6h | 1 | 1 | 1 |
| 7h | 1 | 1 | 1 |
Figure 37-5 Superfractional Divider Example| VCLK = 50MHz | ||||
|---|---|---|---|---|
| 24-Bit Register Value | Baud Rate Selected | Percent Error | ||
| Decimal | Hex | Ideal | Actual | |
| 26 | 00 001A | 115200 | 115740 | 0.47 |
| 53 | 00 0035 | 57600 | 57870 | 0.47 |
| 80 | 00 0050 | 38400 | 38580 | 0.47 |
| 162 | 00 00A2 | 19200 | 19172 | -0.15 |
| 299 | 00 012B | 10400 | 10417 | 0.16 |
| 325 | 00 0145 | 9600 | 9586 | -0.15 |
| 399 | 00 018F | 7812.5 | 7812.5 | 0.00 |
| 650 | 00 028A | 4800 | 4800 | 0.00 |
| 15624 | 00 3BA0 | 200 | 200 | 0.00 |
| 624999 | 09 8967 | 5 | 5 | 0.00 |