ZHCSXB4 October 2024 TAA3040
ADVANCE INFORMATION
为了去除直流偏移分量并衰减录音数据中不需要的低频噪声成分,该器件支持可编程高通滤波器 (HPF)。HPF 不是独立于通道的滤波器设置,但全局适用于所有 ADC 通道。该 HPF 使用一阶无限脉冲响应 (IIR) 滤波器构建,并具有足够高的效率来滤除信号中可能的直流分量。表 6-16 展示了可用的预定义 –3dB 截止频率,该频率可使用 P0_R107 的 HPF_SEL[1] 寄存器位进行设置。此外,为了针对特定应用实现自定义的 –3dB 截止频率,该器件还允许在 HPF_SEL[1:0] 寄存器位设置为 2'b00 时对一阶 IIR 滤波器系数进行编程。图 6-17 展示了 HPF 滤波器的频率响应图。
| P0_R107_D[1:0]:HPF_SEL[1:0] | -3dB 截止频率设置 | 16kHz 采样速率下的 -3dB 截止频率 | 48kHz 采样速率下的 -3dB 截止频率 |
|---|---|---|---|
| 00 | 可编程一阶 IIR 滤波器 | 可编程一阶 IIR 滤波器 | 可编程一阶 IIR 滤波器 |
| 01(默认值) | 0.00025 × fS | 4Hz | 12Hz |
| 10 | 0.002 × fS | 32Hz | 96Hz |
| 11 | 0.008 × fS | 128Hz | 384Hz |
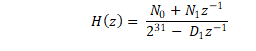
图 6-17 HPF 滤波器频率响应图方程式 1 给出了一阶可编程 IIR 滤波器的传递函数:

对于具有默认系数的该一阶可编程 IIR 滤波器,其频率响应在增益为 0dB(全通滤波器)时是平坦的。主机器件可以通过对表 6-17 中的 IIR 系数进行编程来覆盖频率响应,从而实现高通滤波或任何其他必要滤波所需的频率响应。如果 HPF_SEL[1:0] 设置为 2'b00,则主机器件必须写入这些系数值以实现所需的频率响应,然后再对任何 ADC 通道上电以进行录音。表 6-17 展示了一阶 IIR 滤波器的滤波器系数。
| 滤波器 | 滤波器系数 | 默认系数值 | 系数寄存器映射 |
|---|---|---|---|
| 可编程一阶 IIR 滤波器(可分配至 HPF 或任何其他所需滤波器) | N0 | 0x7FFFFFFF | P4_R72-R75 |
| N1 | 0x00000000 | P4_R76-R79 | |
| D1 | 0x00000000 | P4_R80-R83 |