ZHCS614G October 2011 – September 2022 TPS40422
PRODUCTION DATA
The TPS4022 device uses voltage mode control topology in a single phase dual-output configuration. In this example, a Type III compensation network is implemented to compensate for the double pole, close the loop and stabilize the system. TI provides a compensation calculator tool to streamline the compensation design process.
The TPS4022 Loop Compensation Tool (SLUC263) provides the recommended compensation components as a starting point and approximate bode plots. It is always recommended to measure the real system bode plot after the design and adjust the compensation values accordingly. The chosen compensation values are derived from the tool calculation along with the Venable K-factor method and optimization based on the measured data.
In this design example, the desired crossover frequency chosen is approximately 4 × fDP (20 kHz). Use Equation 32 to calculate the double pole frequency formed by the output inductor and capacitor bank.

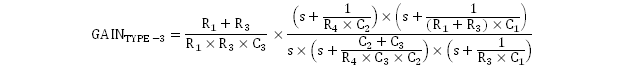
Because the Venable K-factor method was used to derive these compensation values, it is important to ensure that the poles and zeroes are coincident. A way to confirm that the poles and zeroes are coincident is to calculate the poles and zeroes from the gain of the Type-III compensation network.

The first and second zeroes should yield approximately equal frequency values of 6480 Hz and 6631 Hz.


Analogous to the zeroes being coincident, the first and second poles are coincident as well and are shown in Equation 36 and Equation 37.


The resulting compensated system Bode plot is shown in Figure 9-4 and the PWR091 EVM user guide (SLVU638). A more comprehensive discussion is presented in Under the Hood of Low-Voltage DC/DC Converters from the 2003 TI Power Supply Seminar (SLUP206).