ZHCSLX5C March 2021 – June 2025 TPS628501 , TPS628502 , TPS628503
PRODUCTION DATA
通过该引脚可以设置三个不同的参数:
在 COMP/FSET 与 GND 之间连接的电阻器可以改变补偿和开关频率。补偿的变化允许用户使该器件能够适配不同的输出电容值。该电阻器必须靠近引脚放置,以使引脚上的寄生电容尽可能小。补偿设置在转换器启动时被采样,因此在运行过程中更换该电阻器只会影响开关频率,而对补偿没有影响。
为了节省外部元件,该引脚也可直接连接到 VIN 或 GND,以设置预定义的设置。请勿将此引脚悬空。
必须根据输入电压和输出电压选择开关频率,以满足最短导通时间和最短关断时间规格。
示例:VIN = 5V,VOUT = 0.6V --> 占空比 = 0.6V/5V = 0.12
补偿范围必须根据所用的最小电容来选择。在两个补偿范围内,可以将电容从 表 8-1 中给出的最小值增大到 200µF 的最大值。如果输出的电容在运行期间发生变化,例如当负载开关用于连接或断开电路的某些部分时,必须为输出上的最小电容选择补偿。对于大输出电容,必须基于该大电容进行补偿,以获得出色的负载瞬态响应。如果补偿较大的输出电容,但在输出端放置较小的电容,则可能会导致不稳定。
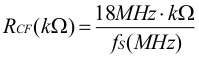
不同补偿设置的开关频率由以下公式确定。
对于禁用展频时钟 (SSC) 时的补偿 (comp) 设置 1:

对于启用展频时钟 (SSC) 时的补偿 (comp) 设置 1:

对于禁用展频时钟 (SSC) 时的补偿 (comp) 设置 2:

| RCF | 补偿 | 开关频率 | VOUT < 1V 时的最小输出电容 | 1V ≤ VOUT < 3.3V 时的最小输出电容 | VOUT ≥ 3.3V 时的最小输出电容 |
|---|---|---|---|---|---|
| 10kΩ ..4.5kΩ | 对于最小输出电容 (补偿设置 1) SSC 禁用 | 1.8MHz (10kΩ) ..4MHz (4.5kΩ) (根据 方程式 1) | 15µF | 10µF | 8µF |
| 33kΩ ..15kΩ | 对于最小输出电容 (补偿设置 1) SSC 启用 | 1.8MHz (33kΩ) ..4MHz (15kΩ) (根据 方程式 2) | 15µF | 10µF | 8µF |
| 100kΩ ..45kΩ | 为了获得出色瞬态响应(较大的输出电容) (补偿设置 2) SSC 禁用 | 1.8MHz (100kΩ) ..4MHz (45kΩ) (根据 方程式 3) | 30µF | 18µF | 15µF |
| 连接至 GND | 对于最小输出电容 (补偿设置 1) SSC 禁用 | 内部固定 2.25MHz | 15µF | 10µF | 8µF |
| 连接至 VIN | 为了获得出色瞬态响应(更大的输出电容) (补偿设置 2) SSC 启用 | 内部固定 2.25MHz | 30µF | 18µF | 15µF |
有关所需输出电容(取决于输出电压)的更多详细信息,请参阅 节 9.1.3.2。
对于 RCF 而言,电阻值过高会被解码为“连接到 VIN”。低于最低范围的值被解码为“连接至 GND”。表 8-1 中的最小输出电容适用于靠近器件输出端的电容器。如果电容是分布式的,可能需要较低的补偿设置。