ZHCSKM3H March   1999  – April 2025 UCC1801 , UCC1802 , UCC1803 , UCC1804 , UCC1805 , UCC2800 , UCC2801 , UCC2802 , UCC2803 , UCC2804 , UCC2805 , UCC3800 , UCC3801 , UCC3802 , UCC3803 , UCC3804 , UCC3805

PRODUCTION DATA  

  1.   1
  2. 特性
  3. 应用
  4. 说明
  5. 器件比较
  6. 引脚配置和功能
  7. 规格
    1. 6.1 绝对最大额定值
    2. 6.2 ESD 等级
    3. 6.3 建议运行条件
    4. 6.4 热性能信息
    5. 6.5 电气特性
    6. 6.6 典型特性
  8. 详细说明
    1. 7.1 概述
    2. 7.2 功能方框图
    3. 7.3 特性说明
      1. 7.3.1  详细引脚说明
        1. 7.3.1.1 COMP
        2. 7.3.1.2 FB
        3. 7.3.1.3 CS
        4. 7.3.1.4 RC
        5. 7.3.1.5 GND
        6. 7.3.1.6 OUT
        7. 7.3.1.7 VCC
        8. 7.3.1.8 引脚 8 (REF)
      2. 7.3.2  欠压锁定 (UVLO)
      3. 7.3.3  自偏置低电平有效输出
      4. 7.3.4  基准电压
      5. 7.3.5  振荡器
      6. 7.3.6  同步
      7. 7.3.7  PWM 生成器
      8. 7.3.8  最小关断时间设置(死区时间控制)
      9. 7.3.9  前沿消隐
      10. 7.3.10 最小脉冲宽度
      11. 7.3.11 电流限制
      12. 7.3.12 过流保护和全周期重启
      13. 7.3.13 软启动
      14. 7.3.14 斜率补偿
    4. 7.4 器件功能模式
      1. 7.4.1 正常运行
      2. 7.4.2 UVLO 模式
      3. 7.4.3 软启动模式
      4. 7.4.4 故障模式
  9. 应用和实施
    1. 8.1 应用信息
    2. 8.2 典型应用
      1. 8.2.1 设计要求
      2. 8.2.2 详细设计过程
        1. 8.2.2.1 电流检测网络
        2. 8.2.2.2 栅极驱动电阻器
        3. 8.2.2.3 Vref 电容器
        4. 8.2.2.4 RTCT
        5. 8.2.2.5 启动电路
        6. 8.2.2.6 电压反馈补偿
          1. 8.2.2.6.1 功率级增益、零点和极点
          2. 8.2.2.6.2 补偿环路
      3. 8.2.3 应用曲线
    3. 8.3 电源相关建议
    4. 8.4 布局
      1. 8.4.1 布局指南
      2. 8.4.2 布局示例
  10. 器件和文档支持
    1. 9.1 相关链接
    2. 9.2 接收文档更新通知
    3. 9.3 支持资源
    4. 9.4 商标
    5. 9.5 静电放电警告
    6. 9.6 术语表
  11. 10Revision History
  12. 11机械、封装和可订购信息

封装选项

机械数据 (封装 | 引脚)
散热焊盘机械数据 (封装 | 引脚)
订购信息

详细设计过程

设计时首先需要选择合适的大容量电容器。

根据功率级别选择初级侧大容量电容器。根据所需的最小体电压电平,可使用 方程式 8 计算出大容量电容器值。

方程式 8. UCC1801 UCC1802 UCC1803 UCC1804 UCC1805 UCC2800 UCC2801 UCC2802 UCC2803 UCC2804 UCC2805 UCC3800 UCC3801 UCC3802 UCC3803 UCC3804 UCC3805

方程式 8 中,PIN 是最大输出功率除以目标效率,VIN(min) 是最小交流输入电压 RMS 值。VBULK(min) 为目标最小体电压,fLINE 为线路频率。

根据公式,为了实现 75V 的最小体电压,假设转换器效率为 85%、最低线路频率为 47Hz,则大容量电容器容量必须大于 127µF,设计时考虑到电容器容差选择了 180µF。

变压器设计首先需要选择合适的开关频率。通常情况下,针对简单的反激式拓扑,开关频率的选择需要权衡转换器的尺寸与效率。一般而言,开关频率越高,变压器尺寸就越小。但开关损耗会增加,进而影响效率。有时,开关频率选型是为了避开特定的通信频段,防止噪声干扰通信。本数据表内容不包含频率选型。

选用 110kHz 的开关频率,以尽可能缩减变压器尺寸。同时,法规已着手将 EMI 噪声限制在 150kHz,设计选用了 110kHz 开关频率以尽可能缩减 EMI 滤波器尺寸。

随后根据所需的 MOSFET 额定电压和二极管额定电压,选择变压器的匝数比。由于最大输入电压为 265V AC,因此可按照 方程式 9 计算峰值电压。

方程式 9. UCC1801 UCC1802 UCC1803 UCC1804 UCC1805 UCC2800 UCC2801 UCC2802 UCC2803 UCC2804 UCC2805 UCC3800 UCC3801 UCC3802 UCC3803 UCC3804 UCC3805

为尽可能地减少系统的成本,选择了常用的 650V MOSFET。考虑到设计裕度和 MOSFET 漏极上的额外电压振铃,反射输出电压必须小于 120V。根据 方程式 10 选择变压器匝数比。

方程式 10. UCC1801 UCC1802 UCC1803 UCC1804 UCC1805 UCC2800 UCC2801 UCC2802 UCC2803 UCC2804 UCC2805 UCC3800 UCC3801 UCC3802 UCC3803 UCC3804 UCC3805

二极管电压应力等于输出电压加上反射输入电压。二极管上的电压应力通过 方程式 11 计算得出。

方程式 11. UCC1801 UCC1802 UCC1803 UCC1804 UCC1805 UCC2800 UCC2801 UCC2802 UCC2803 UCC2804 UCC2805 UCC3800 UCC3801 UCC3802 UCC3803 UCC3804 UCC3805

考虑到振铃电压尖峰和电压降额,二极管额定电压必须大于 50V。

变压器电感根据 CCM 条件进行选择。较大的电感器可延长转换器在 CCM 下的维持时间。但这往往会增加变压器尺寸。通常情况下,所选用的变压器磁化电感应使得转换器能够在最小线路电压下,在负载约为 50% 时进入 CCM 工作模式。这是在变压器尺寸和效率之间进行权衡的结果。在该特定设计中,由于输出电流更高,因此需要使转换器处于深度 CCM 工作模式,并尽可能减小导通损耗和输出纹波。在最小体电压下,转换器以大约 10% 的负载进入 CCM 工作模式。

电感可通过 方程式 12 计算得出。

方程式 12. UCC1801 UCC1802 UCC1803 UCC1804 UCC1805 UCC2800 UCC2801 UCC2802 UCC2803 UCC2804 UCC2805 UCC3800 UCC3801 UCC3802 UCC3803 UCC3804 UCC3805

在本公式中,开关频率为 110kHz。因此,变压器电感必须约为
1.7mH。磁化电感值选用 1.5mH。

辅助绕组为 UCC2800 的正常运行供电。辅助绕组电压是反射到初级侧的输出电压。设计旨在实现更高的反射电压,以便 IC 能够快速从变压器获取能力,进而简化大功率负载的启动操作。然而,较高的反射电压使得 IC 耗能增加。因此需要权衡各个方面。

在此设计中,所选辅助绕组电压与输出电压相同,因此电压高于 UVLO 电平,并确保 IC 和驱动损耗较低。因此,辅助绕组与输出绕组的匝数比如 方程式 13 所示。

方程式 13. UCC1801 UCC1802 UCC1803 UCC1804 UCC1805 UCC2800 UCC2801 UCC2802 UCC2803 UCC2804 UCC2805 UCC3800 UCC3801 UCC3802 UCC3803 UCC3804 UCC3805

基于计算得出的电感值和开关频率,可以计算 MOSFET 和二极管的电流应力。

MOSFET 峰值电流的计算公式如 方程式 14 所示。

方程式 14. UCC1801 UCC1802 UCC1803 UCC1804 UCC1805 UCC2800 UCC2801 UCC2802 UCC2803 UCC2804 UCC2805 UCC3800 UCC3801 UCC3802 UCC3803 UCC3804 UCC3805

MOSFET 峰值电流为 1.425A。

二极管峰值电流等于反射到次级侧的 MOSFET 峰值电流。

方程式 15. UCC1801 UCC1802 UCC1803 UCC1804 UCC1805 UCC2800 UCC2801 UCC2802 UCC2803 UCC2804 UCC2805 UCC3800 UCC3801 UCC3802 UCC3803 UCC3804 UCC3805

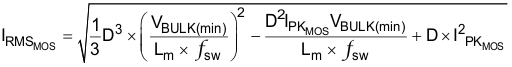
MOSFET 的 RMS 电流计算公式如 方程式 16 所示。

方程式 16. UCC1801 UCC1802 UCC1803 UCC1804 UCC1805 UCC2800 UCC2801 UCC2802 UCC2803 UCC2804 UCC2805 UCC3800 UCC3801 UCC3802 UCC3803 UCC3804 UCC3805

方程式 16 中,D 是最小体电压下的 MOSFET 占空比,计算公式如 方程式 17 所示。

方程式 17. UCC1801 UCC1802 UCC1803 UCC1804 UCC1805 UCC2800 UCC2801 UCC2802 UCC2803 UCC2804 UCC2805 UCC3800 UCC3801 UCC3802 UCC3803 UCC3804 UCC3805

MOSFET RMS 电流为 0.75A。因此选择 IRFB9N65A 作为初级侧 MOSFET。

二极管平均电流是输出电流 4A,额定电压为 60V,峰值电流为 14.25A,因此选用了 48CTQ060-1。

根据输出电压纹波要求选择输出电容器。在本设计中,假设电压纹波为 0.1%。基于 0.1% 的纹波要求,可通过 方程式 18 选择电容器值。

方程式 18. UCC1801 UCC1802 UCC1803 UCC1804 UCC1805 UCC2800 UCC2801 UCC2802 UCC2803 UCC2804 UCC2805 UCC3800 UCC3801 UCC3802 UCC3803 UCC3804 UCC3805

考虑到容差和温度影响,同时兼顾电容器的纹波电流额定值,选择了 3 个并联的 680µF 输出电容器。

功率级设计完成后,即可选定外围元件。