可按照下文概述的过程来为稳定的控制环路选择补偿元件:
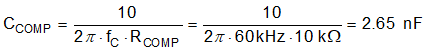
- 假定有效输出电容为 100µF,根据指定的 60kHz 开环增益交叉频率 fC,可使用方程式 43 来计算 RCOMP。为 RCOMP 选择 10kΩ 的标准值。
方程式 43. 
- 为了在交叉时提供足够的相位提升,同时还允许在负载或线路瞬变期间实现快速稳定时间,请选择 CCOMP 来在以下两者中较高的一个位置放置零点:(1) 交叉频率的十分之一或 (2) 负载极点。为 CCOMP 选择 2.7nF 的标准值。
方程式 44. 
这种低电容值还有助于从压降中恢复时避免输出电压过冲(当输入电压低于输出电压设定点并且 VCOMP 达到高电平时)。
- 计算出 CHF,以便在 ESR 零点处形成一个极点并衰减 COMP 处的高频噪声。CBW 是误差放大器的带宽限制电容。CHF 可能不足以满足某些设计中所需的要求,就像这个设计。CHF 可以不组装,也可以与 22pF 小型电容一起使用来进一步滤除噪声。
方程式 45. 
注: 设置具有高 RCOMP 和低 CCOMP 值的快速环路,以便改善从压降操作恢复时的响应。
有关设计和管理电源的技术解决方案、行业趋势和见解,请参阅 TI 的技术文章。