ZHCSD54C October 2014 – February 2023 TDC1000
PRODUCTION DATA
渡越时间式超声波流量计根据以下原理工作:运动流体中的声波在流动方向上(顺流)传播得较快,在与流动方向相反的方向上(逆流)传播得较慢。
系统至少需要两个换能器。第一个换能器在逆流周期中用作发送器,在顺流周期中用作接收器,第二个换能器在逆流周期中用作接收器,在顺流周期中用作发送器。超声波流量计通过在一对换能器之间交替运行发送周期和接收周期并准确测量两个方向的飞行时间来工作。
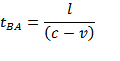
图 9-8 逆流/顺流发送脉冲和接收脉冲之间的关系在该示例中,逆流 TOF 定义为:

其中
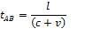
在该示例中,顺流 TOF 定义为:

其中
TOF 差定义为:

其中
在计算飞行时间差 (ΔTOF) 之后,可以使用以下公式将管道中的水流速度与 ΔTOF 相关联:

其中
最后,质量流速的计算公式如下所示:

其中