ZHCSN25A December 2020 – May 2022 UCC27289
PRODUCTION DATA
UCC27289等于栅极驱动器器件不同功能块中功率损耗的总和。本节介绍这些功率损耗构成。

此处虽未展示,但为了获得更保守的估计值,请在上述公式中增加空载运行电流 IDDO 和 IHBO。

其中

其中
假设本示例中没有外部栅极电阻。驱动器输出部分的最大上拉和下拉电阻的平均值约为 4Ω。代入应用值,计算栅极电荷导致的动态损耗,此处为 230mW。

为简化该示例,假设寄生电荷 QP 的值为 1nC。替换数值后,得出电平转换器动态损耗为 25.5mW。就电平转换器动态损耗而言,这个估计值非常高。
所有损耗总计 265.22mW,等于栅极驱动器的总损耗。如本示例所示,在大多数应用中,栅极电荷导致的动态损耗决定了栅极驱动器器件的总功率损耗。对于带自举二极管的栅极驱动器,还应估算自举二极管内的损耗。二极管正向导通损耗等于平均正向压降与平均正向电流的乘积。
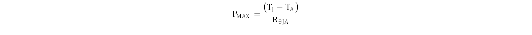
方程式 8 估算了器件在给定环境温度下允许的最大功率损耗。

其中
为更好地估算应用中栅极驱动器器件的结温,建议首先准确测量外壳温度,然后确定给定应用的功率损耗。然后用 ψJT 来计算结温。在应用中,估算结温并测量环境温度之后,计算 θJA(effective)。然后,在项目开发阶段,如果设计参数(比如外部栅极电阻器或功率 MOSFET 的值)发生变化,则使用 θJA(effective) 来估算这些变化如何影响栅极驱动器器件的结温。
热性能信息 表汇总了驱动器封装的热指标。有关热性能信息表的详细信息,请参阅半导体和器件封装热指标 应用报告。