ZHCU246A June 2017 – January 2023
反相降压/升压拓扑与降压拓扑非常相似。在#SLVA5143734 所示的降压配置中,正极连接 (VOUT) 连接到电源模块的 VOUT 引脚,返回连接则连接到电源模块地 (GND)。然而,在#SLVA5147250 所示的反相降压/升压配置中,电源模块地用作负输出电压引脚(标记为 -VOUT)。该端子之前在降压配置中称为正输出,用作地。这种反相拓扑允许输出电压反相并且始终低于接地电压。
反相降压/升压拓扑中的电路运行不同于降压拓扑中的电路运行。#SLVA5148789 (a) 展示了输出电压端子是反向的,尽管元件的接线方式与降压转换器相同。如 #SLVA5148789 (b) 所示,在控制 MOSFET 导通期间,电感器用电流充电,而输出电容器提供负载电流。在此期间,电感器不向负载提供电流。在控制 MOSFET 的关断期间和同步 MOSFET 的导通期间,(请参阅 #SLVA5148789 (c)),电感器为负载和输出电容器提供电流。这些更改会影响许多参数,以下各小节将进一步详细介绍。
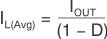
图 2-4 反相降压/升压配置在此拓扑中,平均电感电流受到影响。在降压配置中,平均电感电流等于平均输出电流,因为电感器总是在控制 MOSFET 的导通和关断期间为负载提供电流。而在反相降压/升压配置中,仅由输出电容器向负载提供电流,而负载在控制 MOSFET 导通期间与电感器完全断开。在关断期间,电感器连接到输出电容器和负载(请参阅#SLVA5148789)。由于关断时间为开关周期的 1 – D,#SLVA5146570 中的平均电感器电流计算方法如下:

典型降压转换器的占空比只是 VOUT/VIN,但#SLVA5147331 中反相降压/升压转换器的占空比计算方法变为:

#SLVA4693172 提供峰峰值电感器纹波电流:

其中:
#SLVA4695282 计算最大电感器电流:
