ZHCAEP9B July 2015 – November 2024 DLP7000UV , DLP9000XUV , DLP9500UV
当 DMD 以相干、准直、窄带光照亮时,反射结果为二维斑点图案,称为衍射阶数。根据像素间距、DMD 微镜倾斜角、照明波长和照明光的入射角,可以存在从完整火焰 到完整抗火焰 的一系列条件。
当一个衍射阶包含整体衍射模式中的大部分能量时,就会出现火焰条件。建模表明,这单个阶可以包含近四分之三的输出能量,剩余的季度分配到所有其他阶中。这是最好的情况。设计为在火焰条件下运行的光学系统可以使用更小的角孔径,但可能需要 DMD 对齐功能,并需要进行照明和投影光学路径角度调整,以校正不同 DMD 之间的标称倾斜角度变化差异。
当四个最亮的阶在衍射模式中包含等量的能量时,就会出现抗火焰条件。建模表明这四个相邻的阶都可以包含总输出能量的大约六分之一(总共约三分之二),其余的三分之一分布在剩余的每个阶中。
使用采用 DLP DMD 技术的激光器 (DLPA037) 中更详细地讨论了基本 DMD 衍射。
对于支持 UVA 的 DMD,各个微镜之间的最大指定倾斜变化为 ±1°。在 UVA 区域,这种倾斜角差可使客户接收到 DMD,从而产生从抗火焰状态到火焰状态的各种情况。因此,系统输出光学元件必须有足够的孔径,至少在抗火焰条件下收集四个最亮的阶。例如,在 363nm 下,10.8µm 间距器件需要直径至少为 2.7 的角孔径。通过将直径增加到 3.9°,采集四到五个阶,建议这样做。这个推荐直径由 sin-1(2λ/d) 计算得出,其中 λ 是波长,d 是像素间距。
相干光源需要额外的设计考虑因素。反射输出会产生一组衍射阶数,而不是单个反射光束。这些阶数都与输入束具有相同的角度范围。因此,几乎没有角度范围的准直光束会产生准直衍射阶数。
输出孔径能够看到 一定数量的此类衍射阶数。如果 λ 角度直径小于 sin-1(λ/d)(其中 d 是 DMD 的像素间距),则只能在输出孔径中捕获一个阶,如图 5-6 的面板中所示。
如果入射照明角度是固定的,则倾斜角的变化不会导致衍射阶数移动,但确实会导致能量分布在两个阶数之间发生变化。因此,如果捕获的阶接近火焰条件,则大部分可用的能量将在此阶中捕获(图 5-6 中的面板 (a))。如果条件接近抗火焰点,则此小孔径仅捕获输出的一部分(图 5-6 中的面板 (b))。
图 5-6 具有相干照明的衍射阶数为了在系统设计中提供容差,TI 建议扩展输出孔径以捕获四到五个阶,如图 5-7 中所示。如前面的示例所示,在 363nm 下具有准直光的 10.8µm 像素间距 DMD,大约 2.7° 的最小角直径捕获一个或四个阶,3.9° 捕获四个或五个阶。方程式 3 给出了建议的最小角直径:
其中:
图 5-7 扩展的输出孔径捕获五个阶尽管阶不会随倾斜角度的变化而移动,但会随照明角度的变化而移动。如果照明移动了 θ 角度,则输出端的阶数大约移动 –θ。因此,TI 建议包含一种将输入照明角度调整 ±2° 的机制,从而能够在输出孔径中捕获具有最高强度的四到五个阶。
建立照明角度和投影角度后,由于 DMD 倾斜角的差异,投影 DMD 阶数不得移动。但是、每个阶的功率可能会因 DMD 倾斜角而变化。图 5-8、图 5-9 和图 5-10 展示了特定波长 365 nm 的 7.56µm 间距 DMD 倾斜角 11、12 和 13 度所影响的主要阶的功率和位置。投影孔径的中心显示为 + 符号,投影中心由紫色菱形定义。阶为紫色圆,其中每个圆的面积表示该特定阶中的相对功率量。在确定照明和投影角度并将其固定到位后,请注意随着倾斜角度变化 (11-12-13°),投影孔径内的阶不会发生变化,但功率会从某些阶移动到其他阶。这说明了采用适当的投影孔径尺寸以更大限度地收集输出功率的重要性,同时考虑 DMD 倾斜角以及照明和投影对齐方式。
图 5-8 阶功率图,11° 倾斜角,λ = 365nm,7.56µm 像素间距
图 5-9 阶功率图,12° 倾斜角,λ = 365nm,7.56µm 像素间距
图 5-10 阶功率图,13° 倾斜角,λ = 365nm,7.56µm 像素间距图 5-11、图 5-12 和图 5-13 展示了 10.8um 像素 DMD 倾斜角 11、12 和 13 度所影响的主要阶的功率和位置。
图 5-11 阶功率图,11° 倾斜角,λ = 365nm,10.8µm 像素间距
图 5-12 阶功率图,12° 倾斜角,λ = 365nm,10.8µm 像素间距
图 5-13 阶功率图,13° 倾斜角,λ = 365nm,10.8µm 像素间距与非相干情况一样,输出孔径的角度直径设置了可实现的缩小倍数水平的实际限制。例如,在 363nm 波长下,使用准直光的 10.8µm 像素间距 DMD 的最大缩小倍数约为 13.9 倍。如果入射光束具有角度范围,则必须先将直径添加到输出孔径,然后才能确定可实现的缩小倍数。
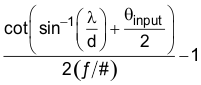
一般而言,可实现的最大缩小倍数可以通过聚焦光学元件相对于制造表面的 ƒ 数来确定,然后设置到 DMD 的距离,使孔径直径为建议的最小值(请参见方程式 3)。方程式 4 给出了可达到的最大缩小倍数的估计值。

其中:
总之,相干源具有与非相干源相同的两个限制。但是,最小孔径由衍射阶数的角度间距而不是单独的倾斜公差决定,这反过来又限制了最大实际缩小倍数。