ZHCAA89D February 2008 – May 2021
为避免信号反射,数据传输线应始终端接,并且存根应尽可能的短。正确的端接需要终端电阻 RT 和传输电缆的特性阻抗 Z0 匹配。RS-485 标准建议采用 Z0 = 120W 的电缆,因此电缆干线通常与 120W 电阻端接,线缆的末尾处各一个(请参阅图 6-1 左半部分)。
图 6-1 正确的 RS-485 终端在噪声环境下的应用通常将 120Ω 电阻替换为两个 60Ω 电阻,组成一个低通滤波器,用于提供额外的共模噪声滤除能力(请参阅图 6-1右半部分)。请务必匹配电阻值(宜使用精度为 1% 的电阻),确保两个滤波器的频率降幅相等。较大的电阻容限(即 20%)会导致滤波器转折频率不同,并且共模噪声会转换为差分噪声,从而使接收器的抗扰性降低。
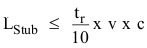
存根的电气长度(收发器与电缆干线之间的距离)应小于驱动器输出上升时间的 1/10,并通过以下公式得出:

其中:
表 6-1 列出了图 5-1 中(78% 速率)与各个驱动器上升时间对应的最大存根长度。
| 器件 | 信号速率 [kbps] |
上升时间 tr [ns] |
最大存根长度 [ft] |
|---|---|---|---|
| SN65HVD12 | 1000 | 100 | 7 |
| SN65LBC184 | 250 | 250 | 19 |
| SN65HVD3082E | 200 | 500 | 38 |
上升时间长的驱动器非常适合那些需要长存根长度和减小器件产生的 EMI 的应用。