SPRUIW9C October 2021 – March 2024 TMS320F280033 , TMS320F280034 , TMS320F280034-Q1 , TMS320F280036-Q1 , TMS320F280036C-Q1 , TMS320F280037 , TMS320F280037-Q1 , TMS320F280037C , TMS320F280037C-Q1 , TMS320F280038-Q1 , TMS320F280038C-Q1 , TMS320F280039 , TMS320F280039-Q1 , TMS320F280039C , TMS320F280039C-Q1
The superfractional divider is available in SCI asynchronous mode (idle-line and address-bit mode). Building on the 4-bit fractional divider M (BRS[27:24]), the superfractional divider uses an additional 3-bit modulating value (see Table 30-2). The bits with a 1 in the table have an additional VCLK period added to the Tbit. If the character length is more than 10, then the modulation table is a rolled-over version of the original table (Table 30-1), as shown in Table 30-2.
The baud rate varies over a data field to average according to the BRS[30:28] value by a “d” fraction of the peripheral internal clock: 0<d<1. See Figure 30-5 for a simple Average “d’ calculation based on “U” value (BRS[30:28]).
The instantaneous bit time is expressed in terms of TVCLK as follows:
For all P other than 0, and all M and d (0 or 1),

For P = 0, Tbit = 32TVCLK
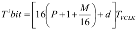
The averaged bit time is expressed in terms of TVCLK as follows:
For all P other than 0, and all M and d (0<d<1),

For P = 0, Tbit = 32TVCLK
| Normal Configuration = Start Bit + 8 Data Bits + Stop Bit | ||||||||||
|---|---|---|---|---|---|---|---|---|---|---|
| BRS[30:28] | Start Bit | D[0] | D[1] | D[2] | D[3] | D[4] | D[5] | D[6] | D[7] | Stop Bit |
| 0h | 0 | 0 | 0 | 0 | 0 | 0 | 0 | 0 | 0 | 0 |
| 1h | 1 | 0 | 0 | 0 | 0 | 0 | 0 | 0 | 1 | 0 |
| 2h | 1 | 0 | 0 | 0 | 1 | 0 | 0 | 0 | 1 | 0 |
| 3h | 1 | 0 | 1 | 0 | 1 | 0 | 0 | 0 | 1 | 0 |
| 4h | 1 | 0 | 1 | 0 | 1 | 0 | 1 | 0 | 1 | 0 |
| 5h | 1 | 1 | 1 | 0 | 1 | 0 | 1 | 0 | 1 | 1 |
| 6h | 1 | 1 | 1 | 0 | 1 | 1 | 1 | 0 | 1 | 1 |
| 7h | 1 | 1 | 1 | 1 | 1 | 1 | 1 | 0 | 1 | 1 |
| Maximum Configuration = Start Bit + 8 Data Bits + Addr Bit + Parity Bit + Stop Bit 0 + Stop Bit 1 | |||||||||||||
|---|---|---|---|---|---|---|---|---|---|---|---|---|---|
| BRS[30:28] | Start Bit | D[0] | D[1] | D[2] | D[3] | D[4] | D[5] | D[6] | D[7] | Addr | Parity | Stop0 | Stop1 |
| 0h | 0 | 0 | 0 | 0 | 0 | 0 | 0 | 0 | 0 | 0 | 0 | 0 | 0 |
| 1h | 1 | 0 | 0 | 0 | 0 | 0 | 0 | 0 | 1 | 0 | 0 | 0 | 0 |
| 2h | 1 | 0 | 0 | 0 | 1 | 0 | 0 | 0 | 1 | 0 | 0 | 0 | 1 |
| 3h | 1 | 0 | 1 | 0 | 1 | 0 | 0 | 0 | 1 | 0 | 1 | 0 | 1 |
| 4h | 1 | 0 | 1 | 0 | 1 | 0 | 1 | 0 | 1 | 0 | 1 | 0 | 1 |
| 5h | 1 | 1 | 1 | 0 | 1 | 0 | 1 | 0 | 1 | 1 | 1 | 0 | 1 |
| 6h | 1 | 1 | 1 | 0 | 1 | 1 | 1 | 0 | 1 | 1 | 1 | 0 | 1 |
| 7h | 1 | 1 | 1 | 1 | 1 | 1 | 1 | 0 | 1 | 1 | 1 | 1 | 1 |
| Minimum Configuration = Start Bit + 1 Data Bit + Stop Bit | |||
|---|---|---|---|
| BRS[30:28] | Start Bit | D[0] | Stop Bit |
| 0h | 0 | 0 | 0 |
| 1h | 1 | 0 | 0 |
| 2h | 1 | 0 | 0 |
| 3h | 1 | 0 | 1 |
| 4h | 1 | 0 | 1 |
| 5h | 1 | 1 | 1 |
| 6h | 1 | 1 | 1 |
| 7h | 1 | 1 | 1 |
Figure 30-5 Superfractional Divider Example