ZHCSDD4I December 2014 – February 2023 DRV5013-Q1
PRODUCTION DATA
在 3.3V 系统中,3.2V ≤ Vref ≤3.4V。使用Equation3 来计算 R1 的允许范围。

对于该设计示例,使用Equation4 来计算 R1 的允许范围。

因此:
在找到 R1 的允许范围(Equation5)之后,为 R1 选择一个介于 500Ω 和 32kΩ 之间的值。
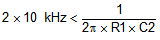
假设系统带宽为 10kHz,使用Equation6 来计算 C2 的值。

对于该设计示例,使用Equation7 来计算 C2 的值。

10kΩ 的 R1 值和小于 820pF 的 C2 值可满足 10kHz 系统带宽的要求。
选择 R1 = 10kΩ 和 C2 = 680pF 可使低通滤波器的拐角频率为 23.4kHz。