ZHCSWR5D September 2008 – August 2024 UCC25600
PRODUCTION DATA
在启动和故障恢复条件下,始终会执行软启动以防止谐振回路电流过大,并确保零电压开关 (ZVS)。在软启动期间,开关频率会增加。软启动时间可以通过在 SS 引脚与地之间连接一个电容器来进行编程。
软启动引脚还用作器件的开/关控制引脚。通过将 SS 引脚主动拉至 1V 以下,该器件会被禁用。移除下拉电阻后,SS 引脚电压会因内部充电电流而升高。在 SS 引脚电压高于 1.2V 后,该器件便开始生成栅极驱动器信号并进入软启动模式。软启动的时间序列如图 7-1 所示。
图 7-1 软启动序列为了防止开启命令和栅极驱动器信号出现之间存在长延迟,SS 引脚电流设置为两个不同的电平。当 SS 引脚电压低于 1.2V 时,其输出电流为 175μA。这种高电流可在短时间内将软启动引脚电容器充电至 1.2V,并可缩短延时时间。该延时时间可以通过以下公式进行计算:

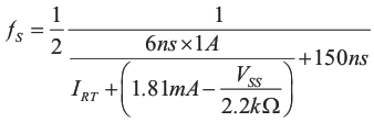
软启动期间的开关频率由流出 RT 引脚的电流和 SS 引脚上的电压决定。开关频率可根据以下公式计算:

SS 引脚电压达到 4V 后,软启动周期完成,开关频率变为 RT 引脚电流所需的相同值。将 SS 引脚从 1.2V 充电到 4V 所用的时间定义为软启动时间,计算公式如下:

为了确保可靠运行,栅极驱动器会在 GD2 变为高电平时重新启动。这可以避免系统启动期间的不确定性。