ZHCSWR5D September 2008 – August 2024 UCC25600
PRODUCTION DATA
在可变开关频率控制下,UCC25600 依赖内部振荡器来改变开关频率。振荡器由流出 RT 引脚的电流控制。除软启动期间外,栅极信号频率与流出 RT 引脚的电流之间的关系可以表示为:

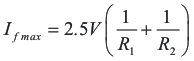
由于开关频率与电流成正比,因此通过限制流出 RT 引脚的最大和最小电流,可以轻松限制转换器的最小和最大开关频率。如图 8-7 所示,在 RT 引脚与地之间放置一个电阻器可以限制最小电流,而将一个电阻器与光耦合器串联可以限制最大电流。
图 8-7 UCC25600 的最大和最小频率设置限频电阻可以根据下列公式计算。



