ZHCSIA7 May   2018 DLPA4000

PRODUCTION DATA.  

  1. 特性
  2. 应用
  3. 说明
    1.     Device Images
      1.      系统方框图
  4. 修订历史记录
  5. Pin Configuration and Functions
    1.     Pin Functions
  6. Specifications
    1. 6.1 Absolute Maximum Ratings
    2. 6.2 ESD Ratings
    3. 6.3 Recommended Operating Conditions
    4. 6.4 Thermal Information
    5. 6.5 Electrical Characteristics
    6. 6.6 SPI Timing Parameters
  7. Detailed Description
    1. 7.1 Overview
    2. 7.2 Functional Block Description
    3. 7.3 Feature Description
      1. 7.3.1 Supply and Monitoring
        1. 7.3.1.1 Supply
        2. 7.3.1.2 Monitoring
          1. 7.3.1.2.1 Block Faults
          2. 7.3.1.2.2 Low Battery and UVLO
          3. 7.3.1.2.3 Thermal Protection
      2. 7.3.2 Illumination
        1. 7.3.2.1 Programmable Gain Block
        2. 7.3.2.2 LDO Illumination
        3. 7.3.2.3 Illumination Driver A
        4. 7.3.2.4 External MOSFETs
          1. 7.3.2.4.1 Gate series resistor (RG)
          2. 7.3.2.4.2 Gate series diode (DG)
          3. 7.3.2.4.3 Gate parallel capacitance (CG)
        5. 7.3.2.5 RGB Strobe Decoder
          1. 7.3.2.5.1 Break Before Make (BBM)
          2. 7.3.2.5.2 Openloop Voltage
          3. 7.3.2.5.3 Transient Current Limit
        6. 7.3.2.6 Illumination Monitoring
          1. 7.3.2.6.1 Power Good
          2. 7.3.2.6.2 RatioMetric Overvoltage Protection
      3. 7.3.3 External Power MOSFET Selection
        1. 7.3.3.1 Threshold Voltage
        2. 7.3.3.2 Gate Charge and Gate Timing
        3. 7.3.3.3 On-resistance RDS(on)
      4. 7.3.4 DMD Supplies
        1. 7.3.4.1 LDO DMD
        2. 7.3.4.2 DMD HV Regulator
        3. 7.3.4.3 DMD/DLPC Buck Converters
        4. 7.3.4.4 DMD Monitoring
          1. 7.3.4.4.1 Power Good
          2. 7.3.4.4.2 Overvoltage Fault
      5. 7.3.5 Buck Converters
        1. 7.3.5.1 LDO Bucks
        2. 7.3.5.2 General Purpose Buck Converters
        3. 7.3.5.3 Buck Converter Monitoring
          1. 7.3.5.3.1 Power Good
          2. 7.3.5.3.2 Overvoltage Fault
      6. 7.3.6 Auxiliary LDOs
      7. 7.3.7 Measurement System
    4. 7.4 Device Functional Modes
    5. 7.5 Programming
      1. 7.5.1 SPI
      2. 7.5.2 Interrupt
      3. 7.5.3 Fast-Shutdown in Case of Fault
      4. 7.5.4 Protected Registers
      5. 7.5.5 Writing to EEPROM
    6. 7.6 Register Maps
  8. Application and Implementation
    1. 8.1 Application Information
    2. 8.2 Typical Application
      1. 8.2.1 Design Requirements
      2. 8.2.2 Detailed Design Procedure
        1. 8.2.2.1 Component Selection for General-Purpose Buck Converters
    3. 8.3 System Example With DLPA4000 Internal Block Diagram
  9. Power Supply Recommendations
    1. 9.1 Power-Up and Power-Down Timing
  10. 10Layout
    1. 10.1 Layout Guidelines
      1. 10.1.1 LED Driver
        1. 10.1.1.1 PowerBlock Gate Control Isolation
        2. 10.1.1.2 VIN to PowerBlocks
        3. 10.1.1.3 Return Current from LEDs and RSense
        4. 10.1.1.4 RC Snubber
        5. 10.1.1.5 Capacitor Choice
      2. 10.1.2 General Purpose Buck 2
      3. 10.1.3 SPI Connections
      4. 10.1.4 RLIM Routing
      5. 10.1.5 LED Connection
    2. 10.2 Layout Example
    3. 10.3 Thermal Considerations
  11. 11器件和文档支持
    1. 11.1 器件支持
      1. 11.1.1 器件命名规则
    2. 11.2 接收文档更新通知
    3. 11.3 社区资源
    4. 11.4 商标
    5. 11.5 静电放电警告
    6. 11.6 术语表
  12. 12机械、封装和可订购信息
    1. 12.1 Package Option Addendum
      1. 12.1.1 Packaging Information

封装选项

机械数据 (封装 | 引脚)
散热焊盘机械数据 (封装 | 引脚)
订购信息

Illumination Driver A

The illumination driver of the DLPA4000 comprises a buck controller for driving two external low-ohmic N-channel MOSFETs Figure 6). The application note Understanding Buck Power Stages in Switchmode Power Supplies (SLVA057) explains buck converter operation theory. Proper operation requires careful selection of the external components, especially the inductor LOUT and the output capacitor COUT. For best efficiency and ripple performance, choose an inductor and capacitor with low equivalent series resistance (ESR).

DLPA4000 DLPA4000_Illum_Buck.gifFigure 6. Typical Illumination Driver Configuration

Several factors determine the component selection of the buck converter, including input voltage (VIN), desired output voltage (VLED) and the allowed output current ripple. The first step of the configuration is to select the inductor LOUT.

Select the value of the inductance of a buck power stage so that the peak-to-peak ripple current flowing in the inductor remains within a certain range. Here, the target is set to have an inductor current ripple, kI_RIPPLE, less than 0.174 (17.4%). The minimum inductor value can be calculated given the input and output voltage, output current, switching frequency of the buck converter (ƒSWITCH= 600 kHz), and inductor ripple of 0.174 (17.4%):

Equation 1. DLPA4000 EQ_Illum_Buck_Lout.gif

Example: VIN= 19.5 V, VOUT= 4.3 V, IOUT= 32 A results in an inductor value of LOUT= 1µH

Determine the output capacitor, COUT after selecting the inductor. Calculate the value considering that the frequency compensation of the illumination loop is designed for an LC-tank resonance frequency of 13.8 kHz:

Equation 2. DLPA4000 EQ_Illum_Buck_fres.gif

Example: COUT= 132 µF given that LOUT= 1 µH. A practical value is 6 × 22 µF. Here, a parallel connection of two capacitors is chosen to lower the ESR even further.

The selected inductor and capacitor determine the output voltage ripple. The resulting output voltage ripple VLED_RIPPLE is a function of the inductor ripple kI_RIPPLE, output current IOUT, switching frequency ƒSWITCH and the capacitor value COUT:

Equation 3. DLPA4000 EQ_Illum_Buck_VLED_RIPPLE.gif

Example: KI_RIPPLE= 0.174, IOUT= 32 A, ƒSWITCH= 600 kHz and COUT= 6 x 22 µF results with an appropriately small level of 8.8 mVpp.

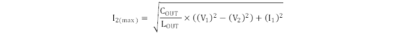
It is strongly advised to keep the capacitance value low. The larger the capacitor value the more energy is stored. When the LED voltage falls, stored energy must dissipate. Current discharges when stored energy dissipates. Use Equation 4 to calculate the theoretical peak reverse current caused by a large voltage drop.

Equation 4. DLPA4000 q_i2max_dlps132.gif

where

  • V1 is the starting VLED
  • V2 is the ending VLED
  • I1 is the LED current