ZHCSTJ6A October   2023  – February 2024 OPA4990-Q1

ADVANCE INFORMATION  

  1.   1
  2. 特性
  3. 应用
  4. 说明
  5. Pin Configuration and Function
  6. Specifications
    1. 5.1 Absolute Maximum Ratings
    2. 5.2 ESD Ratings
    3. 5.3 Recommended Operating Conditions
    4. 5.4 Thermal Information for Single Channel
    5. 5.5 Thermal Information for Dual Channel
    6. 5.6 Thermal Information for Quad Channel
    7. 5.7 Electrical Characteristics
    8. 5.8 Typical Characteristics
  7. Detailed Description
    1. 6.1 Overview
    2. 6.2 Functional Block Diagram
    3. 6.3 Feature Description
      1. 6.3.1 Input Protection Circuitry
      2. 6.3.2 EMI Rejection
      3. 6.3.3 Thermal Protection
      4. 6.3.4 Capacitive Load and Stability
      5. 6.3.5 Common-Mode Voltage Range
      6. 6.3.6 Phase Reversal Protection
      7. 6.3.7 Electrical Overstress
      8. 6.3.8 Overload Recovery
      9. 6.3.9 Typical Specifications and Distributions
    4. 6.4 Device Functional Modes
  8. Application and Implementation
    1. 7.1 Application Information
    2. 7.2 Typical Applications
      1. 7.2.1 Low-Side Current Measurement
        1. 7.2.1.1 Design Requirements
        2. 7.2.1.2 Detailed Design Procedure
        3. 7.2.1.3 Application Curve
      2. 7.2.2 Slew Rate Limit for Input Protection
    3. 7.3 Power Supply Recommendations
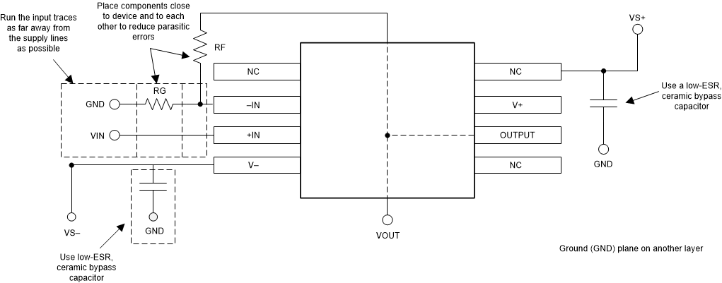
    4. 7.4 Layout
      1. 7.4.1 Layout Guidelines
      2. 7.4.2 Layout Example
  9. Device and Documentation Support
    1. 8.1 Device Support
      1. 8.1.1 Development Support
        1. 8.1.1.1 TINA-TI (Free Software Download)
    2. 8.2 Documentation Support
      1. 8.2.1 Related Documentation
    3. 8.3 接收文档更新通知
    4. 8.4 支持资源
    5. 8.5 Trademarks
    6. 8.6 静电放电警告
    7. 8.7 术语表
  10. Revision History
  11. 10Mechanical, Packaging, and Orderable Information
    1. 10.1 Tape and Reel Information
    2. 10.2 Mechanical Data

封装选项

请参考 PDF 数据表获取器件具体的封装图。

机械数据 (封装 | 引脚)
  • PW|14
散热焊盘机械数据 (封装 | 引脚)
订购信息

Layout Example

GUID-16AD33E6-A6D3-4392-BA1F-8037BC17AB99-low.gifFigure 7-4 Schematic Representation
GUID-058496B3-FC1F-4C51-B7CA-9009C4284F8F-low.gifFigure 7-5 Operational Amplifier Board Layout for Noninverting Configuration
GUID-2A6B38CF-F9EF-463B-83B9-3B687CBADCC0-low.gifFigure 7-6 Example Layout for SC70 (DCK) Package
GUID-D029CBE7-99B0-4667-995B-CBA3CBB49D03-low.gifFigure 7-7 Example Layout for VSSOP-8 (DGK) Package