ZHCSK93 September   2019 DLP5534-Q1

ADVANCE INFORMATION for pre-production products; subject to change without notice.  

  1. 特性
  2. 应用
  3. 说明
    1.     Device Images
      1.      DLP5534-Q1 DLP芯片组系统方框图
  4. 修订历史记录
  5. Pin Configuration and Functions
    1.     Pin Functions – Connector Pins
    2.     Pin Functions – Test Pads
  6. Specifications
    1. 6.1  Absolute Maximum Ratings
    2. 6.2  Storage Conditions
    3. 6.3  ESD Ratings
    4. 6.4  Recommended Operating Conditions
    5. 6.5  Thermal Information
    6. 6.6  Electrical Characteristics
    7. 6.7  Timing Requirements
    8. 6.8  Switching Characteristics
    9. 6.9  System Mounting Interface Loads
    10. 6.10 Physical Characteristics of the Micromirror Array
    11. 6.11 Micromirror Array Optical Characteristics
    12. 6.12 Window Characteristics
    13. 6.13 Chipset Component Usage Specification
  7. Detailed Description
    1. 7.1 Overview
    2. 7.2 Functional Block Diagram
    3. 7.3 Feature Description
      1. 7.3.1 Sub-LVDS Data Interface
      2. 7.3.2 Low Speed Interface for Control
      3. 7.3.3 DMD Voltage Supplies
      4. 7.3.4 Asynchronous Reset
      5. 7.3.5 Temperature Sensing Diode
        1. 7.3.5.1 Temperature Sense Diode Theory
    4. 7.4 System Optical Considerations
      1. 7.4.1 Numerical Aperture and Stray Light Control
      2. 7.4.2 Pupil Match
      3. 7.4.3 Illumination Overfill
    5. 7.5 Micromirror Array Temperature Calculation
    6. 7.6 Micromirror Landed-On/Landed-Off Duty Cycle
      1. 7.6.1 Definition of Micromirror Landed-On/Landed-Off Duty Cycle
  8. Application and Implementation
    1. 8.1 Application Information
    2. 8.2 Typical Application
      1. 8.2.1 Application Overview
      2. 8.2.2 Reference Design
      3. 8.2.3 Application Mission Profile Consideration
      4. 8.2.4 Illumination Mission Profile Considerations
  9. Power Supply Recommendations
    1. 9.1 Power Supply Power-Up Procedure
    2. 9.2 Power Supply Power-Down Procedure
    3. 9.3 Power Supply Sequencing Requirements
  10. 10Layout
    1. 10.1 Layout Guidelines
  11. 11器件和文档支持
    1. 11.1 器件支持
      1. 11.1.1 器件命名规则
      2. 11.1.2 器件标记
    2. 11.2 社区资源
    3. 11.3 商标
    4. 11.4 静电放电警告
    5. 11.5 DMD 处理
    6. 11.6 Glossary
  12. 12机械、封装和可订购信息

封装选项

机械数据 (封装 | 引脚)
散热焊盘机械数据 (封装 | 引脚)
订购信息

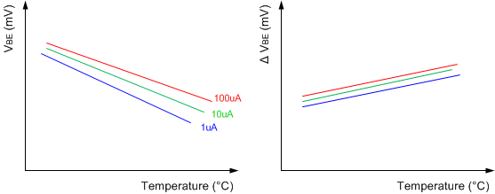
Temperature Sense Diode Theory

A temperature sensing diode is based on the fundamental current and temperature characteristics of a transistor. The diode is formed by connecting the transistor base to the collector. Three different known currents flow through the diode and the resulting diode voltage is measured in each case. The difference in their base–emitter voltages is proportional to the absolute temperature of the transistor.

Refer to the TMP411-Q1 data sheet for detailed information about temperature diode theory and measurement. Figure 17 and Figure 18 illustrate the relationships between the current and voltage through the diode.

DLP5534-Q1 sec_7_current_temp_sense_diode.gifFigure 17. Temperature Measurement Theory
DLP5534-Q1 sec_7_delta_vbe_example.gifFigure 18. Example of Delta VBE Versus Temperature