ZHCAAJ6G July 2022 – September 2023 ISO5451 , ISO5452 , ISO5851 , ISO5852S , ISO7142CC , ISO7142CC-Q1 , ISO721 , ISO721-Q1 , ISO721M , ISO721M-EP , ISO722 , ISO7220A , ISO7220M , ISO7221A , ISO7221B , ISO7221C , ISO7221M , ISO722M , ISO7230C , ISO7230M , ISO7231C , ISO7231M , ISO7240C , ISO7240CF , ISO7240M , ISO7241C , ISO7241M , ISO7242C , ISO7242M , ISO7310-Q1 , ISO7310C , ISO7340-Q1 , ISO7340C , ISO7340FC , ISO7341-Q1 , ISO7341C , ISO7341FC , ISO7342-Q1 , ISO7342C , ISO7342FC , ISO7740 , ISO7741 , ISO7742 , ISO7760 , ISO7761 , ISO7762 , ISO7810 , ISO7820 , ISO7821 , ISO7830 , ISO7831 , ISO7840 , ISO7841 , ISO7842
过孔一词通常指印刷电路板中的电镀孔。尽管某些应用要求通孔过孔应足够宽,以容纳通孔器件的引线,但高速电路板设计主要将其用作更改信号层时的布线过孔,或用作将 SMT 元件连接到所需参考平面以及将具有相同电位的参考平面进行相互连接的连接过孔。
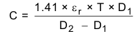
连接到过孔的层通过与过孔周围的焊盘(过孔焊盘)直接接触来实现连接。不得连接的层由间隙环进行隔离。每个过孔都有一个接地电容,可使用以下公式来近似计算该电容:

其中
电容随尺寸成正比增加,因此高速设计中的布线过孔必须尽可能小,以避免因容性负载过重而导致信号衰减。
在将去耦电容器连接到接地平面或互连接地平面时,过孔电感变得比其电容更重要。可通过以下公式来近似计算该电感的大小:

其中
该公式涉及对数,因此更改过孔直径对电感的影响很小。通过改变过孔长度或并联使用多个过孔,可使过孔电感产生很大的变化。因此,可以为每个器件端子使用两个并联过孔以将去耦电容器接地。对于接地平面之间的低电感连接,应在电路板上以固定间隔使用多个过孔。
尽管强烈建议不要更改高速布线层,但如果仍需要更改,请确保实现连续的返回电流路径。在图 4-13 中,左侧的图显示了单层更改的返回电流流动情况,右侧的图显示了多层更改的返回电流流动情况。
图 4-13 单层更改和多层更改的返回电流路径电流从接地平面的底部变化到顶部的能力是由内部间隙环的金属叠层提供的。因此,当信号通过过孔并在同一平面的另一侧继续传输时,不存在返回电流不连续性。
如果通过跨越多个参考平面将信号布线从一个层更改为另一个层,则会使返回电流路径的设计复杂化。在有两个接地平面的情况下,必须在信号过孔附近放置一个接地至接地过孔,以确保实现连续的返回电流路径(图 4-13 中右侧的图)。
如果多个参考平面具有不同的电压电位(例如图 4-14 中的电源平面和接地平面),则返回路径的设计会变得比较棘手,因为这需要第三个过孔和一个解耦电容器。返回电流从电源平面的底部开始,在此处返回电流最靠近信号电流。然后返回电流流过电源过孔,流过去耦电容器进入接地过孔,并返回至接地平面的顶部。
图 4-14 单层更改和多层更改的返回电流路径包含多个过孔和去耦电容器的电流返回路径具有高电感,因此会影响信号完整性并使 EMI 增加。如果可能,应避免在高速布线布局期间更改层,因为这通常会降低电路板性能,使设计复杂化并增加制造成本。