ZHCSHE9J June   2010  – January 2018 TPS7A80

PRODUCTION DATA.  

  1. 特性
  2. 应用
  3. 说明
    1.     Device Images
      1.      典型应用图
  4. 修订历史记录
  5. Pin Configuration and Functions
    1.     Pin Functions
  6. Specifications
    1. 6.1 Absolute Maximum Ratings
    2. 6.2 ESD Ratings
    3. 6.3 Recommended Operating Conditions
    4. 6.4 Thermal Information
    5. 6.5 Electrical Characteristics
    6. 6.6 Typical Characteristics
  7. Detailed Description
    1. 7.1 Overview
    2. 7.2 Functional Block Diagram
    3. 7.3 Feature Description
      1. 7.3.1 Internal Current Limit
      2. 7.3.2 Shutdown
      3. 7.3.3 Start-Up
      4. 7.3.4 Undervoltage Lockout (UVLO)
    4. 7.4 Device Functional Modes
  8. Application and Implementation
    1. 8.1 Application Information
    2. 8.2 Typical Application
      1. 8.2.1 Design Requirements
        1. 8.2.1.1 Dropout Voltage
        2. 8.2.1.2 Minimum Load
        3. 8.2.1.3 Input and Output Capacitor Requirements
        4. 8.2.1.4 Transient Response
      2. 8.2.2 Detailed Design Procedure
        1. 8.2.2.1 Output Noise
      3. 8.2.3 Application Curve
  9. Power Supply Recommendations
  10. 10Layout
    1. 10.1 Layout Guidelines
      1. 10.1.1 Board Layout Recommendations to Improve PSRR and Noise Performance
      2. 10.1.2 Thermal Considerations
      3. 10.1.3 Power Dissipation
      4. 10.1.4 Estimating Junction Temperature
    2. 10.2 Layout Example
  11. 11器件和文档支持
    1. 11.1 文档支持
      1. 11.1.1 相关文档
    2. 11.2 接收文档更新通知
    3. 11.3 社区资源
    4. 11.4 商标
    5. 11.5 静电放电警告
    6. 11.6 Glossary
  12. 12机械、封装和可订购信息

封装选项

机械数据 (封装 | 引脚)
散热焊盘机械数据 (封装 | 引脚)
订购信息

Typical Characteristics

At VOUT(TYP) = 3.3 V, VIN = VOUT(TYP) + 0.5 V or 2.2 V (whichever is greater), IOUT = 100 mA, VEN = VIN, CIN = 1 μF,
COUT = 4.7 μF, and CNR = 0.01 μF, all temperature values refer to TJ (unless otherwise noted).
TPS7A80 tc_load_reg_bvs135.gif
Figure 1. Load Regulation
TPS7A80 tc_line_reg_bvs135.gif
Figure 3. Line Regulation
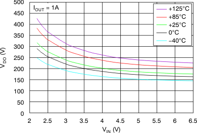
TPS7A80 tc_vdo-vin_1a_bvs135.gif
Figure 5. Dropout Voltage vs Input Voltage
TPS7A80 tc_vdo-vin_500ma_bvs135.gif
Figure 7. Dropout Voltage vs Input Voltage
TPS7A80 tc_vdo-tmp_bvs135.gif
Figure 9. Dropout Voltage vs Temperature
TPS7A80 tc_ignd-iout_bvs135.gif
Figure 11. Ground Pin Current vs Load Current
TPS7A80 tc_ilim-tmp_bvs135.gif
Figure 13. Current Limit vs Temperature
TPS7A80 tc_psrr-frq_1v_bvs135.gif
Figure 15. Power-Supply Ripple Rejection vs Frequency
TPS7A80 tc_psrr-frq_1v_22uf_bvs135.gif
Figure 17. Power-Supply Ripple Rejection vs Frequency
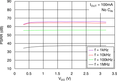
TPS7A80 tc_psrr-vdo_100ma_bvs135.gif
Figure 19. Power-Supply Ripple Rejection
vs Dropout Voltage
TPS7A80 tc_noise-frq_4795_bvs135.gif
Figure 21. Output Spectral Noise Density
vs Frequency
TPS7A80 tc_noise-frq_9207_bvs135.gif
Figure 23. Output Spectral Noise Density
vs Frequency
TPS7A80 tc_line_trans_bvs135.gif
Figure 25. Line Transient Response
TPS7A80 tc_en_pulse_bvs135.gif
Figure 27. Enable Pulse Response
TPS7A80 tc_load_reg_light_bvs135.gif
Figure 2. Load Regulation Under Light Loads
TPS7A80 tc_line_reg_light_bvs135.gif
Figure 4. Line Regulation Under Light Loads
TPS7A80 tc_vdo-vin_750ma_bvs135.gif
Figure 6. Dropout Voltage vs Input Voltage
TPS7A80 tc_vdo-iout_bvs135.gif
Figure 8. Dropout Voltage vs Load Current
TPS7A80 tc_ignd-vin_bvs135.gif
Figure 10. Ground Pin Current vs Input Voltage
TPS7A80 tc_ishdn-tmp_bvs135.gif
Figure 12. Shutdown Current vs Temperature
TPS7A80 tc_psrr-frq_100ma_bvs135.gif
Figure 14. Power-Supply Ripple Rejection vs Frequency
TPS7A80 tc_psrr-frq_05v_bvs135.gif
Figure 16. Power-Supply Ripple Rejection vs Frequency
TPS7A80 tc_psrr-frq_05v_22uf_bvs135.gif
Figure 18. Power-Supply Ripple Rejection vs Frequency
TPS7A80 tc_psrr-vdo_750ma_bvs135.gif
Figure 20. Power-Supply Ripple Rejection
vs Dropout Voltage
TPS7A80 tc_noise-frq_4814_bvs135.gif
Figure 22. Output Spectral Noise Density
vs Frequency
TPS7A80 tc_startup-cnr_bvs135.gif
Figure 24. Start-Up Time
vs Noise Reduction Capacitance
TPS7A80 tc_load_trans_bvs135.gif
Figure 26. Load Transient Response
TPS7A80 tc_pwr_updwn_bvs135.gif
The internal reference requires approximately 2 ms of rampup time (see Start-Up); therefore, VOUT fully reaches the target output voltage of 3.3 V in 2 ms from start-up.
Figure 28. Power-Up and Power-Down Response