ZHCSCI6D May 2014 – January 2018 TPS6213013A-Q1 , TPS62130A-Q1 , TPS62133A-Q1
PRODUCTION DATA.
The built in Power Save Mode of the TPS6213xA-Q1 is entered seamlessly, if the load current decreases. This secures a high efficiency in light load operation. The device remains in Power Save Mode as long as the inductor current is discontinuous.
In Power Save Mode, the switching frequency decreases linearly with the load current maintaining high efficiency. The transition into and out of Power Save Mode happens within the entire regulation scheme and is seamless in both directions.
TPS6213xA-Q1 includes a fixed on-time circuitry. This on-time, in steady-state operation with FSW=Low, can be estimated as:

space
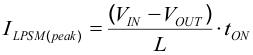
For very small output voltages, an absolute minimum on-time of about 80ns is kept to limit switching losses. The operating frequency is thereby reduced from its nominal value, keeping efficiency high. Also the off-time can reach its minimum value at high duty cycles. The output voltage remains regulated in such case. Using tON, the typical peak inductor current in Power Save Mode can be approximated by:
space

space
When VIN decreases to typically 15% above VOUT, the TPS6213xA-Q1 does not enter Power Save Mode, regardless of the load current. The device maintains output regulation in PWM mode.