ZHCSVT0 May 2024 TPS55189-Q1
PRODUCTION DATA
TPS55189-Q1 采用平均电流控制方案。内部电流环路使用内部补偿,要求电感值必须大于 1.2/fSW。外部电压环路需要外部补偿。COMP 引脚是内部电压误差放大器的输出。一个由电阻器和陶瓷电容器组成的外部补偿网络连接至 COMP 引脚。
TPS55189-Q1 以降压模式或升压模式运行。因此,降压和升压运行模式都需要环路补偿。从环路稳定性的角度来看,两种补偿中限制性较高的应被选为整体补偿。通常,对于设计为在降压模式或升压模式下运行的转换器,由于存在右半平面零点 (RHPZ),升压模式补偿设计具有更严格的限制。
升压模式下的功率级可通过公式 19 建模。

其中
功率级有两个零点和一个极点,由输出电容器和负载电阻生成。使用方程式 20 到公式 22 来计算这些值。



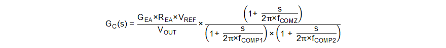
内部跨导放大器与 COMP 引脚上的补偿网络构成了环路的控制部分。控制部分的传递函数如公式 23 所示。

其中
开环总增益是 GPS(s) 和 GC(s) 的乘积。下一步是选择环路交叉频率 fC,在该频率下开环总增益为 1,即 0dB。环路增益在交叉之前保持在 0dB 以上的频率越高,环路响应越快。通常,环路增益在 0dB 交叉时的频率不高于开关频率 fSW 的 1/10 或 RHPZ 频率 fRHPZ 的 1/5(以较低者为准)。
然后根据公式 24 到公式 26 设置 RC、CC 和 CP 的值。

其中


如果计算得出的 CP 小于 10pF,则可以将其保持开路状态。
设计大于 45° 相位裕度和大于 10dB 增益裕度的环路,可消除线路和负载瞬态期间的输出电压振铃。