ZHCSL90 August 2020 TPS25980
PRODUCTION DATA
Figure 7-1 Supply UVP Threshold vs Temperature
| TPS259803x Variants |
Figure 7-5 EN/UVLO Threshold vs Temperature
Figure 7-7 EN/UVLO Falling Threshold for Lowest Current Consumption
| VENUVLO = 0 V, OUT = Open |

| Across Process, Voltage, Temperature Corners |
Figure 7-13 ITIMER Voltage Threshold Delta vs Temperature
Figure 7-15 LDSTRT Charging Current vs Temperature
Figure 7-17 DVDT
Charging Current vs Temperature
Figure 7-19 RETRY_DLY Oscillator Hysteresis vs Temperature
Figure 7-21 NRETRY Oscillator Hysteresis vs Temperature
Figure 7-23 Thermal Shutdown Plot - Inrush/Overload
| TPS259802x Variants |

| TPS259804x Variants |

| VENUVLO = 2 V, OUT = Open |

| VENUVLO = 1 V, OUT = Open |
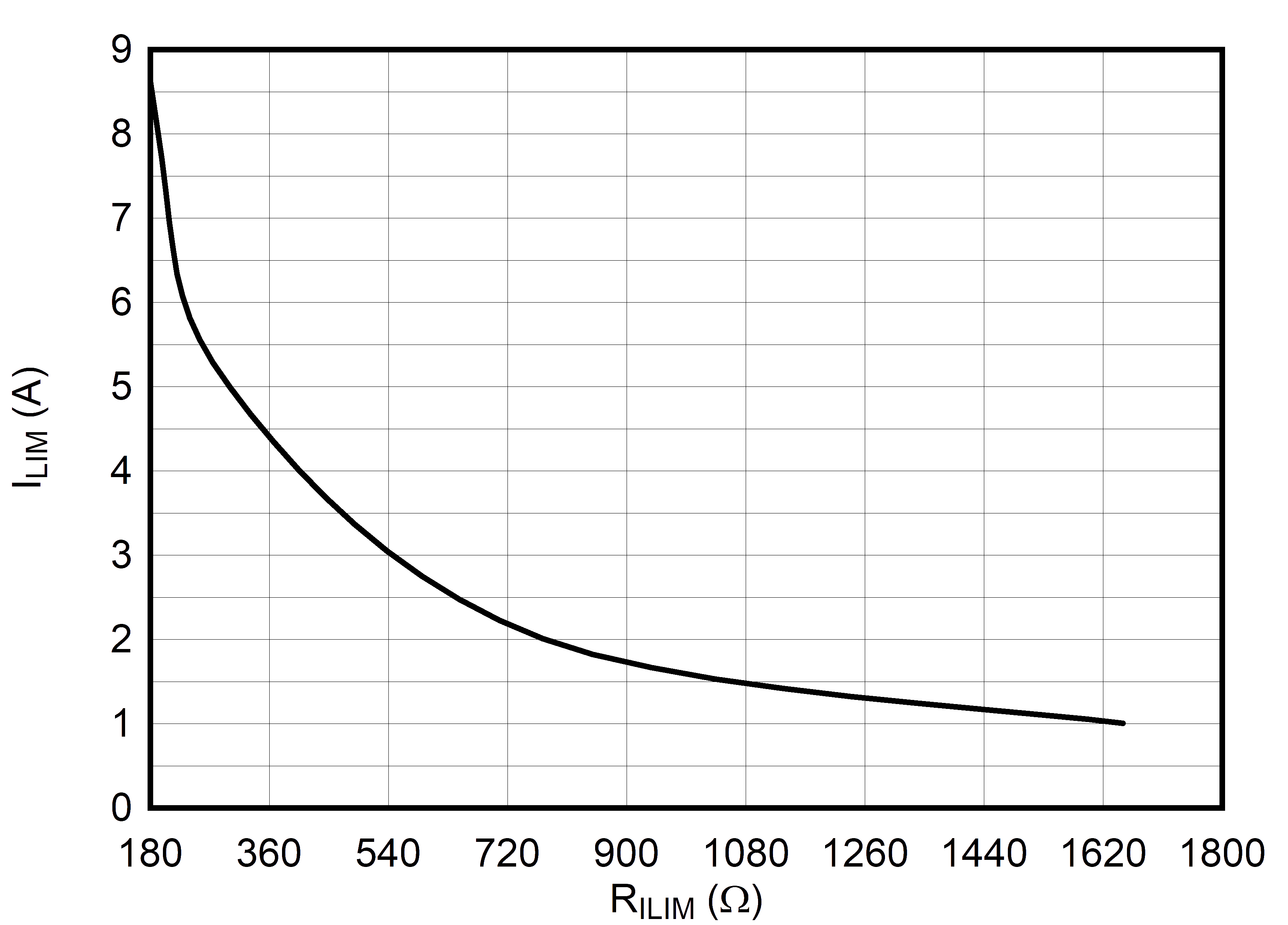
Figure 7-10 Output Current Limit (ILIM) vs RILIM
| VIN = 0 V |
Figure 7-14 ITIMER Discharge Current vs Temperature
Figure 7-16 LDSTRT Threshold Voltage vs Temperature
Figure 7-18 RETRY_DLY Bias Current vs Temperature
Figure 7-20 NRETRY Bias Current vs Temperature
Figure 7-22 Thermal Shutdown Plot - Steady State
| CIN = 1 μF | COUT = 220 μF | CdVdt = 3.3 nF |

| COUT = 220 μF | CdVdt = 3.3 nF | ROUT = 6 Ω |

| RILIM = 182 Ω | CITIMER = 4.7 nF | |

| RILIM = 182 Ω | ||

| RILIM = 182 Ω |

| RILIM = 511 Ω |

| COUT = 220 μF | CdVdt = 10 nF | ROUT = Open |

| TPS259804x (16.7-V OVP variant) |

| RILIM = 182 Ω | CITIMER = 4.7 nF | CRETRY_DLY = 2.2 nF, CNRETRY = 2.2 nF |

| RILIM = 182 Ω | ||

| RILIM = 332 Ω |