ZHCSL91B October 2020 – March 2022 TPS25947
PRODUCTION DATA
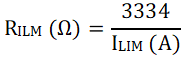
The TPS259474x (Circuit-Breaker) variants respond to output overcurrent conditions by turning off the output after a user adjustable transient fault blanking interval. When the load current exceeds the set overcurrent threshold (ILIM) set by the ILM pin resistor (RILM), but stays lower than the fast-trip threshold (2 x ILIM), the device starts discharging the ITIMER pin capacitor using an internal 1.8-μA pull-down current. If the load current drops below ILIM before the ITIMER pin capacitor (CITIMER) discharges by ΔVITIMER, the ITIMER is reset by pulling it up to VINT internally and the circuit breaker action is not engaged. This allows short load transient pulses to pass through the device without tripping the circuit. If the overcurrent condition persists, the CITIMER continues to discharge and after it discharges by ΔVITIMER, the circuit breaker action turns off the HFET immediately. At the same time, the CITIMER is charged up to VINT again so that it is at its default state before the next overcurrent event. This ensures the full blanking timer interval is provided for every overcurrent event. Equation 5 can be used to calculate the RILM value for a overcurrent threshold.

Leaving the ILM pin open sets the current limit to nearly zero and results in the part breaking the circuit with the slightest amount of loading at the output.
Shorting the ILM pin to ground at any point during normal operation is detected as a fault and the part shuts down. There is a minimum current (IFLT) which the part allows in this condition before the pin short condition is detected.
The duration for which transients are allowed can be adjusted using an appropriate capacitor value from ITIMER pin to ground. The CITIMER value needed to set the desired transient overcurrent blanking interval can be calculated using Equation 6.

Figure 8-9 TPS259474x Overcurrent Response After the part shuts down due to a Circuit Breaker fault, it can either stay latched off (TPS259474L variant) or restart automatically after a fixed delay (TPS259474A variant).