ZHCSYW7 September 2025 TMP461-EP
PRODUCTION DATA
TMP461-EP 器件旨在与内置于处理器芯片和应用特定集成电路 (ASIC) 中的分立式晶体管或基板晶体管配合使用。只要将基极-发射极结作为远程温度传感器,就可以使用 NPN 或 PNP 晶体管。NPN 晶体管必须采用二极管连接。PNP 晶体管可以采用晶体管连接,也可以采用二极管连接(请参阅图 9-1)。图 9-3 展示了在 D+ 和 D- 引脚之间连接一个晶体管时的 D+ 引脚波形。由于图 7-1 中所示的三个不同的源电流,D+ 波形在温度转换期间呈现三个电压电平。
远程温度传感器读数误差通常是由于 TMP461-EP 器件使用的理想因子(η 因子)和电流激励,与制造商针对给定晶体管指定的工作电流共同作用的结果。一些制造商为温度检测基板晶体管指定了高电平和低电平电流。TMP461-EP 器件对于 ILOW 使用 7.5μA,对于 IHIGH 使用 120μA。
理想因数 (η) 是与理想二极管相比得出的远程温度传感器二极管的测量特性。TMP461-EP 允许使用不同的 n 因子值;请参阅 η 因子校正寄存器章节。
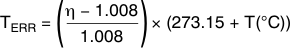
TMP461-EP 器件的理想因子修整为 1.008。如果晶体管的理想因子与 TMP461-EP 器件不匹配,可使用 方程式 4 计算温度误差。
要正确使用 方程式 4,必须将实际温度 (°C) 转换为开尔文 (K)。

其中
在 方程式 4 中,°C 和 K 的增量程度相同。
在 η = 1.004 且 T(°C) = 100°C 时:

如果将分立式晶体管用作 TMP461-EP 的远程温度传感器,则可通过根据以下标准选择晶体管来实现最佳精度:
根据该标准,建议采用的两个小信号晶体管为 2N3904 (NPN) 或 2N3906 (PNP)。