ZHCSI63D February 2019 – August 2021 TLV9301 , TLV9302 , TLV9304
PRODUCTION DATA
TA = 25°C,VS = ±20V,VCM = VS/2,RLOAD = 10kΩ(连接至 VS/2)且 CL = 100pF(除非另外说明)

| TA = 25°C |

| VCM = V+ |

| TA = 25°C |

| CLOAD = 15pF |
图 6-9 输入偏置电流与共模电压间的关系
图 6-11 输出电压摆幅与输出电流(拉电流)间的关系
| VS = 5V |


| f = 0Hz |


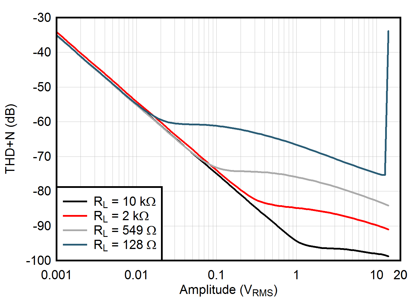
| BW = 80kHz,f = 1kHz |
图 6-23 静态电流与温度间的关系

| G = 1,100mV 输出阶跃 |


| G = -10 |

| RL = 1kΩ,CL = 20pF,G = –1,10mV 阶跃响应 |

| CL = 20pF,G = 1 |

图 6-39 通道隔离与频率间的关系

| VCM = V– |


图 6-10 输入偏置电流与温度间的关系
图 6-12 输出电压摆幅与输出电流(灌电流)间的关系
| VS = 5V |

| f = 0Hz |


| BW = 80kHz,VOUT = 3.5 VRMS |

图 6-24 开环电压增益与温度间的关系 (dB)
| G = –1,100mV 输出阶跃 |

| G = –1,100mV 输出阶跃 |

| G = -10 |

| CL = 20pF,G = 1,20mV 阶跃响应 |

| CL = 20pF,G = 1 |

| CL = 10pF,G = -1 |

图 6-40 EMIRR(电磁干扰抑制比)与频率间的关系