ZHCSI76E May   2008  – September 2015 LM7321 , LM7322

PRODUCTION DATA.  

  1. 特性
  2. 应用
  3. 说明
    1.     Device Images
      1.      输出摆幅与拉电流间的关系
      2.      大信号阶跃响应
  4. 修订历史记录
  5. 说明 (续)
  6. 引脚配置和功能
    1.     引脚功能
  7. 规格
    1. 7.1 绝对最大额定值
    2. 7.2 ESD 额定值
    3. 7.3 建议的工作状态
    4. 7.4 热性能信息
    5. 7.5 2.7V 电气特性
    6. 7.6 ±5V 电气特性
    7. 7.7 ±15V 电气特性
    8. 7.8 典型特性
  8. 详细 说明
    1. 8.1 概述
    2. 8.2 功能框图
    3. 8.3 特性 说明
      1. 8.3.1 输出短路电流和功耗问题
      2. 8.3.2 估算输出电压摆幅
    4. 8.4 器件功能模式
      1. 8.4.1 驱动容性负载
  9. 以下一些应用中
    1. 9.1 应用信息
      1. 9.1.1 类似的高输出器件
      2. 9.1.2 其他高性能 SOT-23 放大器
    2. 9.2 典型应用
      1. 9.2.1 设计要求
      2. 9.2.2 详细设计流程
      3. 9.2.3 应用曲线
  10. 10电源建议
  11. 11布局
    1. 11.1 布局指南
    2. 11.2 布局示例
  12. 12器件和文档支持
    1. 12.1 相关链接
    2. 12.2 社区资源
    3. 12.3 商标
    4. 12.4 静电放电警告
    5. 12.5 术语表
  13. 13机械、封装和可订购信息

封装选项

机械数据 (封装 | 引脚)
散热焊盘机械数据 (封装 | 引脚)
订购信息

驱动容性负载

LM732xx 专门设计用于驱动无限容性负载而不产生振荡,如Figure 61 所示。

LM7321 LM7322 20205769.pngFigure 61. ±5% 建立时间与容性负载间的关系

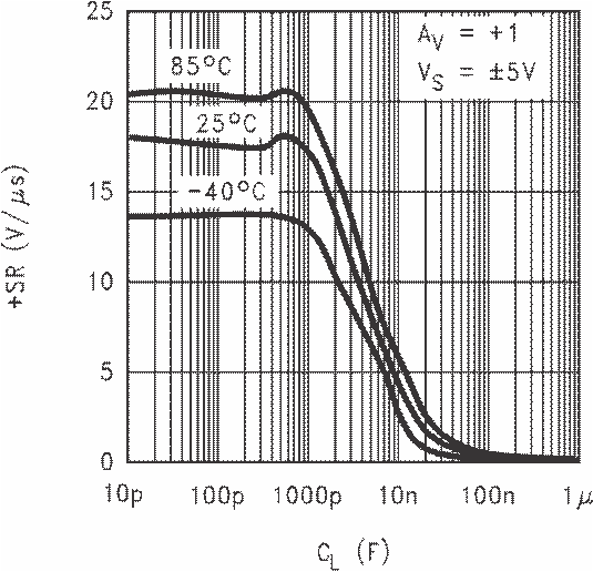
此外,该系列器件具有优秀的输出电流处理能力,因此即使在较大的容性负载条件下也能提供良好的压摆率特性,如Figure 62Figure 63 所示。

LM7321 LM7322 20205770.pngFigure 62. +SR 与容性负载间的关系
LM7321 LM7322 20205771.pngFigure 63. −SR 与容性负载间的关系

这些 特性 相结合使得此系列器件非常适合 TFT 平板缓冲器、模数转换器输入放大器等 应用 。

但是,与大多数运算放大器一样,在此系列运算放大器和容性负载之间增加一个串联隔离电阻器可提高趋稳和过冲性能。

输出电流驱动是驱动容性负载时的重要参数。该参数将决定输出电压的变化速度。参考压摆率与容性负载关系图(典型特性 部分),可以发现两个不同的区域。负载低于大约 10,000pF 时,输出压摆率仅由运算放大器的补偿电容值和流入该电容器的电流决定。负载超出 10nF 时,压摆率取决于运算放大器提供的输出电流。

NOTE

由于输出拉电流与灌电流相比较低,因此大型容性负载下的压摆率限值由正跳变决定。

负载大于 100nF 的情况下,可通过将短路电流值除以电容值来估算正负压摆率。

对于 LM732xx,提供的输出电流随着输入过驱而增大。参考Figure 64Figure 65 可以看出,随着输入过驱增强,短路拉电流和灌电流都增大。在闭环放大器配置中的瞬态条件下,当反馈输出还没有完全赶上输入时,将会在输入端施加过驱,使输出电流高于通常在稳态条件下可提供的电流。得益于这一特性,运算放大器的输出级静态电流可以保持在最低水平,从而降低功耗,同时使器件在需要时(例如瞬态条件下)输出大电流。

LM7321 LM7322 20205772.pngFigure 64. 输出短路拉电流与输入过驱间的关系
LM7321 LM7322 20205773.pngFigure 65. 输出短路灌电流与输入过驱间的关系

Figure 66 显示了器件在 AV = +1、输入关联到 1VPP 阶跃函数并且驱动一个 47nF 电容器时的输出电压、输出电流以及产生的输入过驱。我们可以看出,在输出跳变期间,输入过驱达到 1V 峰值,足以导致输出电流增加到其最大值(请参阅Figure 64Figure 65 的关系图)。

NOTE

由于输出灌电流与拉电流相比较大,因此输出负跳变快于正跳变。

LM7321 LM7322 20205774.pngFigure 66. 缓冲放大器示波器图