Choose compensation components for a stable
control loop using the procedure outlined as follows:
- Based on a specified loop gain crossover
frequency, fC, of 60 kHz, use Equation 48 to calculate RCOMP, assuming an effective output capacitance of
100 µF. Choose a standard value for RCOMP of 10 kΩ.
Equation 45. 
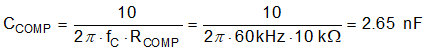
- To provide adequate phase boost at crossover
while also allowing a fast settling time during a load or line transient, select
CCOMP to place a zero at the higher of (1) one tenth of the
crossover frequency, or (2) the load pole. Choose a standard value for
CCOMP of 2.7 nF.
Equation 46. 
Such a
low capacitance value also helps to avoid output voltage overshoot when
recovering from dropout (when the input voltage is less than the output
voltage setpoint and VCOMP is railed high).
- Calculate CHF to create a pole at the
ESR zero and to attenuate high-frequency noise at COMP. CBW is the
bandwidth-limiting capacitance of the error amplifier. CHF may not be
significant enough to be necessary in some designs, like this one.
CHF can be unpopulated, or used with a small 22 pF for more noise
filtering.
Equation 47. 
Note: Set a fast loop with high RCOMP and low CCOMP values to improve the response when recovering from operation in dropout.
| For technical solutions, industry trends, and insights for
designing and managing power supplies, please refer to TI's technical articles. |