ZHCSNY0B May 2020 – January 2023 BQ25798
PRODUCTION DATA
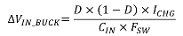
In the buck mode operation, the input current is discontinuous, which dominates the input RMS ripple current and input voltage ripple. The input capacitors should have enough ripple current rating to absorb the input AC current and have large enough capacitance to maintain the small input voltage ripple. For the buck mode operation, the input RMS ripple current is calculated by the equation (6) and the input voltage ripple is calculated by the equation (7), where D = VSYS / VBUS.


The worst case input RMS ripple current and input voltage ripple both occur at 0.5 duty cycle condition. The SYS voltage is approximately 8V for the 2s battery configuration, so the worst case is when 15V to 20V VBUS condition. Low ESR ceramic capacitor such as X7R or X5R is preferred for the input decoupling capacitor and should be placed close to the PMID and GND pins of the IC. The voltage rating of the capacitor must be higher than the normal input voltage level. The capacitor with 25V or higher voltage rating is preferred for up to 20V input voltage. 1*0.1 μF + 3*10 μF ceramic capacitors are suggested for up to 3.3-A input current limit to support the converter in forward mode.
The PMID capacitance also holds up the PMID rail during the transition into backup mode when the adapter is removed. For applications that utilize the backup mode an additional 2*33 uF POSCAP is recommended at PMID.