SBAA051A January   1994  – April  2015 MSC1210Y2 , MSC1210Y3 , MSC1210Y4 , MSC1210Y5

 

  1.   Principles of Data Acquisition and Conversion
    1.     Trademarks
    2. 1 System Sampling Rate
      1. 1.1 Error Considerations
      2. 1.2 Aliasing Error
      3. 1.3 How Many Samples per Cycle?
      4. 1.4 Aperture Error
    3. 2 A Few A/D Converter Points
      1. 2.1 Accuracy
      2. 2.2 Selecting the Resolution
      3. 2.3 Resolution
    4. 3 Increasing System Throughput Rate
    5. 4 System Throughput Accuracy
    6. 5 Digital Codes
    7. 6 Summary

Aperture Error

Aperture error is defined as the amplitude and time errors of the sampled data points due to the uncertainty of the dynamic data changes during sampling. In data acquisition and conversion systems, aperture error can be reduced or made insignificant either by the use of a sample/hold or with a very fast A/D converter.

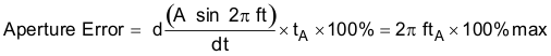
For sinusoidal data, maximum aperture error occurs at the zero crossing where the greatest dV/dt occurs, and is expressed mathematically as:

Equation 1. Eq01_apert_sbaa051.gif

    where

  • f = maximum data frequency
  • tA = aperture time of system (This can be the conversion time of the A/D converter with no sample/hold, or the aperture time of a sample/hold if one is in front of an A/D converter.)

This expression is shown graphically in Figure 5 for frequencies of 1 Hz to 10 kHz with ± 1/2 LSB error highlighted for 8-, 10- and 12-bit resolution A/D converters. The need for a sample/hold becomes readily apparent when data frequencies of 10 Hz or higher are sampled, because the A/D converter conversion speed must be 2 μs or faster for aperture errors less than ± l/2 LSB for l2-bit resolution, and high speed A/D converters are complicated and expensive when compared to slower A/D converters with a low aperture sample/hold.

Figure05_sbaa051.gifFigure 5. Aperture Error vs Aperture Time for Data Frequencies from 10Hz to 1MHz

A sample/ hold with an aperture time of 50ns to 60ns produces negligible aperture error for data frequencies up to 100 Hz for 10- and 12-bit resolution A/ D converters, and is less than ± 1/2 LSB for 8-bit resolution for data frequencies near 5 kHz. Use Figure 5 to determine your system aperture error for each data channel versus the desired resolution.