ZHCSR78I July 2000 – June 2024 UCC28C40 , UCC28C41 , UCC28C42 , UCC28C43 , UCC28C44 , UCC28C45 , UCC38C40 , UCC38C41 , UCC38C42 , UCC38C43 , UCC38C44 , UCC38C45
PRODUCTION DATA
请参考 PDF 数据表获取器件具体的封装图。
斜率补偿是指在占空比超过 50% 的情况下可能出现的大信号次谐波不稳定,其中上升的初级侧电感器电流斜率可能与下降的次级侧电流斜率不匹配。次谐波振荡回导致输出电压纹波增加,甚至可能限制转换器的功率处理能力。
斜率补偿的目标是实现理想的质量系数 (QP),即在一半的开关频率下该系数等于 1。QP 通过方程式 31 计算得出。

其中

其中
斜率补偿的最佳目标是使 QP = 1;重新排列方程式 32 后,确定斜率补偿系数的理想值:

为了使该设计具有足够的斜率补偿,当 D 达到其最大值 0.627 时,MC 必须为 2.193。
CS 引脚处的电感器上升斜率 (Sn) 通过方程式 34 计算得出。

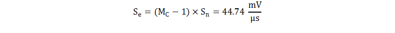
补偿斜率 Se 通过方程式 35 计算得出。

补偿斜率通过 RRAMP 和 RCSF 添加到系统中。CRAMP 是一个交流耦合电容器,其允许使用振荡器的电压斜坡,而不会为电流检测增加失调电压;选择一个接近高频短路的值(例如 10nF)作为起点,并根据需要进行调整。RRAMP 和 RCSF 电阻器从振荡器电荷斜率形成一个分压器,该比例斜坡被注入 CS 引脚以增加斜率补偿。选择远大于 RRT 电阻的 RRAMP 值,这样就不会使内部振荡器的负载下降,导致频率偏移。振荡器电荷斜率通过使用 RT/CT 锯齿波形的峰峰值电压 VOSCpp(等于 1.9V)和最小导通时间计算得出,如方程式 37 所示。


为了实现 44.74mV/µs 的补偿斜率,可以通过方程式 38 计算 RCSF 电阻。在本设计中,选择 RRAMP 为 24.9kΩ,RCSF 为 3.8kΩ 电阻器。
