ZHCSIM3F January   2005  – August 2018 TS5A2066

PRODUCTION DATA.  

  1. 特性
  2. 应用
  3. 说明
    1.     Device Images
      1.      功能方框图
  4. 修订历史记录
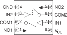
  5. Pin Configuration and Functions
    1.     Pin Functions
  6. Specifications
    1. 6.1 Absolute Maximum Ratings
    2. 6.2 ESD Ratings
    3. 6.3 Recommended Operating Conditions
    4. 6.4 Thermal Information
    5. 6.5 Electrical Characteristics For 5-V Supply
    6. 6.6 Electrical Characteristics For 3.3-V Supply
    7. 6.7 Electrical Characteristics For 2.5-V Supply
    8. 6.8 Electrical Characteristics For 1.8-V Supply
    9. 6.9 Typical Performance
  7. Parameter Measurement Information
  8. Detailed Description
    1. 8.1 Overview
    2. 8.2 Functional Block Diagram
    3. 8.3 Feature Description
    4. 8.4 Device Functional Modes
  9. Application and Implementation
    1. 9.1 Application Information
    2. 9.2 Typical Application
      1. 9.2.1 Design Requirements
      2. 9.2.2 Detailed Design Procedure
      3. 9.2.3 Application Curves
  10. 10Power Supply Recommendations
  11. 11Layout
    1. 11.1 Layout Guidelines
    2. 11.2 Layout Example
  12. 12器件和文档支持
    1. 12.1 接收文档更新通知
    2. 12.2 社区资源
    3. 12.3 商标
    4. 12.4 静电放电警告
    5. 12.5 术语表
  13. 13机械、封装和可订购信息

封装选项

请参考 PDF 数据表获取器件具体的封装图。

机械数据 (封装 | 引脚)
  • DCU|8
  • YZP|8
  • DCT|8
散热焊盘机械数据 (封装 | 引脚)
订购信息

Pin Configuration and Functions

DCT or DCU Package
8 Pin (SSOP or VSSOP)
Top View
TS5A2066 po_cds184.gif
YZP Package
8 Pin (DSBGA)
Bottom View
TS5A2066 po2_cds184.gif

Pin Functions

NO. NAME DESCRIPTION
1 NO1 Normally open
2 COM1 Common
3 IN2 Digital control to connect COM to NO
4 GND Digital ground
5 NO2 Normally open
6 COM2 Common
7 IN1 Digital control to connect COM to NO
8 VCC Power supply