ZHCSIN0K August 2018 – July 2025 TPS62810-Q1 , TPS62811-Q1 , TPS62812-Q1 , TPS62813-Q1
PRODUCTION DATA
此引脚可独立设置两个不同的参数:
在 COMP/FSET 与 GND 之间连接的电阻器可以改变补偿和开关频率。补偿的变化允许您使该器件能够适应不同的输出电容值。该电阻器必须靠近引脚放置,以使引脚上的寄生电容尽可能小。补偿设置在转换器启动时被采样,因此在运行过程中更换该电阻器只会影响开关频率,而对补偿没有影响。
为了节省外部元件,该引脚也可直接连接到 VIN 或 GND,以设置预定义的开关频率/补偿。请勿将此引脚悬空。
必须根据输入电压和输出电压选择开关频率,以满足最短导通时间和最短关断时间规格。
例如:VIN = 5V,VOUT = 1V --> 占空比 (DC) = 1V / 5V = 0.2
补偿范围必须根据所用的最小电容来选择。在所有三个补偿范围内,可以将电容从表 8-1 和表 8-2 中给出的最小值增大到 470µF 的最大值。如果输出的电容在运行期间发生变化,例如当负载开关用于连接或断开电路的某些部分时,必须为输出上的最小电容选择补偿。对于大输出电容,必须基于该大电容进行补偿,以获得出色的负载瞬态响应。如果补偿较大的输出电容,但在输出端放置较小的电容,则可能会导致不稳定。
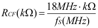
不同补偿设置的开关频率由以下公式确定。
对于补偿设置 1:

对于补偿设置 2:

对于补偿设置 3:

| 补偿 | RCF | 开关频率 | VOUT < 1V 时的 最小输出 电容 | 1V ≤ VOUT < 3.3V 时的 最小输出 电容 | VOUT ≥ 3.3V 时的 最小输出 电容 |
|---|---|---|---|---|---|
| 对于最小输出电容 (补偿设置 1) | 10kΩ...4.5kΩ | 1.8MHz (10kΩ) ...4MHz (4.5kΩ) (根据方程式 1) | 53µF | 32µF | 27µF |
| 对于中输出电容 (补偿设置 2) | 33kΩ ...15kΩ | 1.8MHz (33kΩ) ...4MHz (15kΩ) (根据方程式 2) | 100µF | 60µF | 50µF |
| 对于大输出电容 (补偿设置 3) | 100kΩ ...45kΩ | 1.8MHz (100kΩ) ...4MHz (45kΩ) (根据方程式 3) | 200µF | 120µF | 100µF |
| 对于最小输出电容 (补偿设置 1) | 连接至 GND | 内部固定 2.25MHz | 53µF | 32µF | 27µF |
| 对于大输出电容 (补偿设置 3) | 连接至 VIN | 内部固定 2.25MHz | 200µF | 120µF | 100µF |
| 补偿 | RCF | 开关频率 | VOUT < 1V 时的 最小输出电容 | 1V ≤ VOUT < 3.3V 时的 最小输出电容 | VOUT ≥ 3.3V 时的 最小输出电容 |
|---|---|---|---|---|---|
| 对于最小输出电容 (补偿设置 1) | 10kΩ...4.5kΩ | 1.8MHz (10kΩ) ...4MHz (4.5kΩ) (根据方程式 1) | 30µF | 18µF | 15µF |
| 对于中输出电容 (补偿设置 2) | 33kΩ ...15kΩ | 1.8MHz (33kΩ) ...4MHz (15kΩ) (根据方程式 2) | 60µF | 36µF | 30µF |
| 对于大输出电容 (补偿设置 3) | 100kΩ ...45kΩ | 1.8MHz (100kΩ) ...4MHz (45kΩ) (根据方程式 3) | 130µF | 80µF | 68µF |
| 对于最小输出电容 (补偿设置 1) | 连接至 GND | 内部固定 2.25MHz | 30µF | 18µF | 15µF |
| 对于大输出电容 (补偿设置 3) | 连接至 VIN | 内部固定 2.25MHz | 130µF | 80µF | 68µF |
有关所需输出电容(取决于输出电压)的更多详细信息,请参阅节 9.1.3.2。
对于 RCF,过高的电阻值会被解读为“连接至 VIN”,而低于最低范围的值则被解读为“连接至 GND”。表 8-1 和表 8-2 中的最小输出电容适用于靠近器件输出端的电容器。如果电容是分布式的,可能需要较低的补偿设置。所有值均为有效电容,包括所有容差、老化、直流偏置效应等。