ZHCSHS6F November 2017 – November 2024 TPS62088 , TPS62088A , TPS62089A
PRODUCTION DATA
请参考 PDF 数据表获取器件具体的封装图。
VIN = 5.0 V, VOUT = 1.8 V, TA = 25°C, BOM = Table 8-2, unless otherwise noted.

| VOUT = 0.6 V |

| VOUT = 0.6 V | FPWM devices |

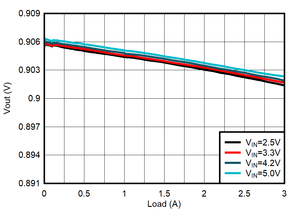
| VOUT = 0.9 V |

| VOUT = 0.9 V | FPWM devices |

| VOUT = 1.2 V |

| VOUT = 1.2 V | FPWM devices |

| VOUT = 1.8 V |

| VOUT = 1.8 V | FPWM devices |

| VOUT = 3.3 V |

| VOUT = 3.32 V | FPWM devices |

| VIN = 3.3 V |

| VIN = 3.3 V | FPWM devices |

| IOUT = 3.0 A |

| IOUT = 0.1 A | FPWM devices |

| No load | FPWM devices |

| IOUT = 0.1 A to 3 A |

| IOUT = 1 A |

| VOUT = 0.6 V |

| VOUT = 0.6 V | FPWM devices |

| VOUT = 0.9 V |

| VOUT = 0.9 V |

| VOUT = 1.2 V |

| VOUT = 1.2 V | FPWM devices |

| VOUT = 1.8 V |

| VOUT = 1.8 V | FPWM devices |

| VOUT = 3.3 V |

| VOUT = 3.32 V | FPWM devices |

| IOUT = 1.0 A |

| IOUT = 1.0 A | FPWM devices |

| IOUT = 0.1 A |

| No load |

| IOUT = 3.0 A |

| IOUT = 1 A |