ZHCSFY0A November   2016  – January 2017 OPA2316-Q1 , OPA316-Q1 , OPA4316-Q1

PRODUCTION DATA.  

  1. 特性
  2. 应用
  3. 说明
    1.     Device Images
      1.      单极低通滤波器
      2.      10MHz 带宽下的低电源电流(400µA/通道)
  4. 修订历史记录
  5. 引脚配置和功能
    1.     引脚功能:OPA316-Q1
    2.     引脚功能:OPA2316-Q1
    3.     引脚功能:OPA4316-Q1
  6. 规格
    1. 6.1 绝对最大额定值
    2. 6.2 ESD 额定值
    3. 6.3 建议运行条件
    4. 6.4 热性能信息:OPA316-Q1
    5. 6.5 热性能信息:OPA2316-Q1
    6. 6.6 热性能信息:OPA4316-Q1
    7. 6.7 电气特性
    8. 6.8 典型特性
  7. 详细 说明
    1. 7.1 概述
    2. 7.2 功能框图
    3. 7.3 特性 说明
      1. 7.3.1 工作电压
      2. 7.3.2 轨至轨输入
      3. 7.3.3 输入和 ESD 保护
      4. 7.3.4 共模抑制比 (CMRR)
      5. 7.3.5 EMI 易感性和输入滤波
      6. 7.3.6 轨至轨输出
      7. 7.3.7 容性负载和稳定性
      8. 7.3.8 过载恢复
    4. 7.4 器件功能模式
  8. 应用和实施
    1. 8.1 应用信息
      1. 8.1.1 一般配置
    2. 8.2 典型应用
      1. 8.2.1 设计要求
      2. 8.2.2 详细设计流程
        1. 8.2.2.1 放大器选择
        2. 8.2.2.2 无源组件选择
      3. 8.2.3 应用曲线
  9. 电源建议
  10. 10布局
    1. 10.1 布局指南
    2. 10.2 布局示例
  11. 11器件和文档支持
    1. 11.1 文档支持
      1. 11.1.1 相关文档
    2. 11.2 相关链接
    3. 11.3 接收文档更新通知
    4. 11.4 社区资源
    5. 11.5 商标
    6. 11.6 静电放电警告
    7. 11.7 术语表
  12. 12机械、封装和可订购信息

封装选项

机械数据 (封装 | 引脚)
散热焊盘机械数据 (封装 | 引脚)
订购信息

典型特性

TA = 25°C,VS = 5.5V,RL = 10kΩ(连接至 VS / 2),VCM = VS / 2,且 VOUT = VS / 2(除非另有说明)。
OPA316-Q1 OPA2316-Q1 OPA4316-Q1 C001_OT.png
根据 12551 个放大器得出的分布图
Figure 1. 失调电压产生分布图
OPA316-Q1 OPA2316-Q1 OPA4316-Q1 C003_OT.png
显示 9 个典型单元
Figure 3. 失调电压与温度间的关系
OPA316-Q1 OPA2316-Q1 OPA4316-Q1 C005_OT.png
V+ = 0.9V 至 2.75V,V– = –0.9V 至 –2.75V,
显示 9 个典型单元
Figure 5. 失调电压与电源间的关系
OPA316-Q1 OPA2316-Q1 OPA4316-Q1 C022A_OT.png
RL = 10kΩ
Figure 7. 开环增益与温度间的关系
OPA316-Q1 OPA2316-Q1 OPA4316-Q1 C007_SBOS703.png
Figure 9. 闭环增益与频率间的关系
OPA316-Q1 OPA2316-Q1 OPA4316-Q1 C010B_OT.png
V+ = 2.75V,V– = –2.75V
Figure 11. 输出电压摆幅与输出电流间的关系
OPA316-Q1 OPA2316-Q1 OPA4316-Q1 C012A_OT.png
Figure 13. CMRR 与温度间的关系(窄范围)
OPA316-Q1 OPA2316-Q1 OPA4316-Q1 C013_OT.png
Figure 15. PSRR 与温度间的关系
OPA316-Q1 OPA2316-Q1 OPA4316-Q1 C015_SBOS703.png
Figure 17. 输入电压噪声频谱密度与频率间的关系
OPA316-Q1 OPA2316-Q1 OPA4316-Q1 C017y_SBOS703.png
带宽 = 80kHz,VOUT = 0.5VRMS
Figure 19. THD + N 与频率间的关系
OPA316-Q1 OPA2316-Q1 OPA4316-Q1 C020_OT.png
Figure 21. 静态电流与电源电压间的关系
OPA316-Q1 OPA2316-Q1 OPA4316-Q1 C024_SBOS703.png
Figure 23. 开环输出阻抗与频率间的关系
OPA316-Q1 OPA2316-Q1 OPA4316-Q1 C026_SBOS703.png
V+ = 2.75V G = +1V/V RL = 1kΩ
V– = –2.75V
Figure 25. 小信号过冲与负载电容间的关系
OPA316-Q1 OPA2316-Q1 OPA4316-Q1 C028_SBOS703.png
V+ = 2.75V V– = –2.75V G = –10V/V
Figure 27. 正过载恢复
OPA316-Q1 OPA2316-Q1 OPA4316-Q1 C030_SBOS703.png
V+ = 2.75V V– = –2.75V G = +1V/V
Figure 29. 小信号阶跃响应
OPA316-Q1 OPA2316-Q1 OPA4316-Q1 C032_SBOS703.png
CL = 100pF G = +1V/V
Figure 31. 正大信号趋稳时间
OPA316-Q1 OPA2316-Q1 OPA4316-Q1 C034_OT.png
Figure 33. 短路电流与温度间的关系
OPA316-Q1 OPA2316-Q1 OPA4316-Q1 C036_SBOS703.png
PRF = –10dBm
Figure 35. 以同相输入为参考的
电磁干扰抑制比 (EMIRR IN+) 与频率间的关系
OPA316-Q1 OPA2316-Q1 OPA4316-Q1 C002_OT.png
TA = –40°C 至 +125°C,根据 70 个放大器得出的分布图
Figure 2. 失调电压漂移分布图
OPA316-Q1 OPA2316-Q1 OPA4316-Q1 C004_OT.png
V+ = 2.75V,V– = –2.75V,显示 9 个典型单元
Figure 4. 失调电压与共模电压间的关系
OPA316-Q1 OPA2316-Q1 OPA4316-Q1 C006_SBOS703.png
VCM < (V+) – 1.4V
Figure 6. 开环增益和相位与频率间的关系
OPA316-Q1 OPA2316-Q1 OPA4316-Q1 C022B_OT.png
RL = 2kΩ
Figure 8. 开环增益与温度间的关系
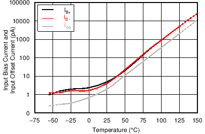
OPA316-Q1 OPA2316-Q1 OPA4316-Q1 C009_OT.png
Figure 10. 输入偏置和失调电流与温度间的关系
OPA316-Q1 OPA2316-Q1 OPA4316-Q1 C011_SBOS703.png
Figure 12. CMRR 和 PSRR 与频率间的关系
(以输入为参考)
OPA316-Q1 OPA2316-Q1 OPA4316-Q1 C012B_OT.png
Figure 14. CMRR 与温度间的关系(宽范围)
OPA316-Q1 OPA2316-Q1 OPA4316-Q1 C014_SBOS703.png
Figure 16. 0.1Hz 至 10Hz 输入电压噪声
OPA316-Q1 OPA2316-Q1 OPA4316-Q1 C039_SBOS703.png
ƒ = 1kHz
Figure 18. 输入电压噪声与共模电压间的关系
OPA316-Q1 OPA2316-Q1 OPA4316-Q1 C018_SBOS703.png
ƒ = 1kHz,带宽 = 80kHz
Figure 20. THD + N 与幅度间的关系
OPA316-Q1 OPA2316-Q1 OPA4316-Q1 C021_OT.png
Figure 22. 静态电流与温度间的关系
OPA316-Q1 OPA2316-Q1 OPA4316-Q1 C025_SBOS703.png
V+ = 2.75V V– = –2.75V G = –1V/V
Figure 24. 小信号过冲与负载电容间的关系
OPA316-Q1 OPA2316-Q1 OPA4316-Q1 C027_SBOS703.png
V+ = 2.75V V– = –2.75V
Figure 26. 无相位反转
OPA316-Q1 OPA2316-Q1 OPA4316-Q1 C029_SBOS703.png
V+ = 2.75V V– = –2.75V G = –10V/V
Figure 28. 负过载恢复
OPA316-Q1 OPA2316-Q1 OPA4316-Q1 C031_SBOS703.png
V+ = 2.75V CL = 100pF G = +1V/V
V– = –2.75V
Figure 30. 大信号阶跃响应
OPA316-Q1 OPA2316-Q1 OPA4316-Q1 C033_SBOS703.png
CL = 100pF G = +1V/V
Figure 32. 负大信号趋稳时间
OPA316-Q1 OPA2316-Q1 OPA4316-Q1 C035_SBOS703.png
Figure 34. 最大输出电压与
频率和电源电压间的关系
OPA316-Q1 OPA2316-Q1 OPA4316-Q1 C00111_SBOS703.png
V+ = 2.75V,V– = –2.75V
Figure 36. 通道分离与频率间的关系