6 Specifications
6.1 Absolute Maximum Ratings(1)
|
MIN |
MAX |
UNIT |
| VIN Differential |
|
±10 |
V |
| Output Short Circuit Duration |
See(3)(5) |
|
|
| Supply Voltage (V+ - V−) |
|
32 |
V |
| Voltage at Input/Output pins |
|
V+ +0.8 V, V− −0.8 V |
V |
| Storage Temperature Range |
−65 |
+150 |
°C |
| Junction Temperature(4) |
|
150 |
°C |
| Soldering Information: |
Infrared or Convection (20 sec.) |
|
235 |
°C |
| Wave Soldering (10 sec.) |
|
260 |
°C |
(1) Absolute Maximum Ratings indicate limits beyond which damage to the device may occur. Operating Rating indicate conditions for which the device is intended to be functional, but specific performance is not guaranteed. For guaranteed specifications and the test conditions, see
Electrical Characteristics 2.7 V.
(2) Human Body Model is 1.5 kΩ in series with 100 pF.
(3) Applies to both single-supply and split-supply operation. Continuous short circuit operation at elevated ambient temperature can result in exceeding the maximum allowed junction temperature of 150°C.
(4) The maximum power dissipation is a function of TJ(max), RθJA, and TA. The maximum allowable power dissipation at any ambient temperature is PD = (TJ(MAX) - TA)/ RθJA. All numbers apply for packages soldered directly onto a PC board.
(5) Allowable Output Short Circuit duration is infinite for VS ≤ 6 V at room temperature and below. For VS > 6 V, allowable short circuit duration is 1.5 ms.
(6) Machine Model, 0 Ω is series with 200 pF.
6.2 ESD Ratings
|
VALUE |
UNIT |
| V(ESD) |
Electrostatic discharge |
Human-body model (HBM), per ANSI/ESDA/JEDEC JS-001(1)(2) |
±2000 |
V |
| Machine model (MM)(6) |
±200 |
(1) JEDEC document JEP155 states that 500-V HBM allows safe manufacturing with a standard ESD control process. Manufacturing with less than 2000-V HBM is possible with the necessary precautions. Pins listed as ±200 V may actually have higher performance.
6.3 Recommended Operating Conditions
|
MIN |
MAX |
UNIT |
| Supply Voltage (V+ - V−) |
2.5 |
30 |
V |
| Temperature Range(2) |
−40 |
+85 |
°C |
6.4 Thermal Information
| THERMAL METRIC(1)(2) |
DBV |
UNIT |
| (5 PINS) |
| RθJA |
Junction-to-ambient thermal resistance |
325 |
°C/W |
(1) For more information about traditional and new thermal metrics, see the
IC Package Thermal Metrics application report,
SPRA953.
(2) The maximum power dissipation is a function of TJ(max), RθJA, and TA. The maximum allowable power dissipation at any ambient temperature is PD = (TJ(MAX) - TA)/ RθJA. All numbers apply for packages soldered directly onto a PC board.
6.5 Electrical Characteristics 2.7 V
Unless otherwise specified, all limits guaranteed for TA = 25°C, V+ = 2.7 V, V− = 0 V, VCM = 0.5 V, VO = V+/2, and RL > 1 MΩ to V−.(1)
|
PARAMETER |
TEST CONDITIONS |
MIN |
TYP(2) |
MAX(3) |
UNIT |
| VOS |
Input Offset Voltage |
VCM = 0.5 V & VCM = 2.2 V |
|
|
+/−0.7 |
+/−5 |
mV |
| −65°C ≤ TJ ≤ +150°C |
|
|
+/−7 |
| TC VOS |
Input Offset Average Drift |
VCM = 0.5 V & VCM = 2.2 V(4) |
|
+/−2 |
|
µV/C |
| IB |
Input Bias Current |
VCM = 0.5 V(5) |
|
|
−1.20 |
−2.00 |
µA |
| −65°C ≤ TJ ≤ +150°C |
|
|
−2.70 |
| VCM = 2.2 V(5) |
|
|
+0.49 |
+1.00 |
| −65°C ≤ TJ ≤ +150°C |
|
|
+1.60 |
| IOS |
Input Offset Current |
VCM = 0.5 V & VCM = 2.2 V |
|
|
20 |
250 |
nA |
| −65°C ≤ TJ ≤ +150°C |
|
|
400 |
| CMRR |
Common Mode Rejection Ratio |
VCM stepped from 0 V to 1.0 V |
|
|
100 |
76 |
dB |
| −65°C ≤ TJ ≤ +150°C |
60 |
|
|
| VCM stepped from 1.7 V to 2.7 V |
|
100 |
|
VCM stepped from 0 V to 2.7 V |
|
|
70 |
58 |
| −65°C ≤ TJ ≤ +150°C |
50 |
|
|
| +PSRR |
Positive Power Supply Rejection Ratio |
V+ = 2.7 V to 5 V |
|
|
104 |
78 |
dB |
| −65°C ≤ TJ ≤ +150°C |
74 |
|
|
| CMVR |
Input Common-Mode Voltage Range |
CMRR > 50 dB |
|
|
−0.3 |
−0.1 |
V |
| −65°C ≤ TJ ≤ +150°C |
|
|
0.0 |
|
|
3.0 |
2.8 |
V |
| −65°C ≤ TJ ≤ +150°C |
2.7 |
|
|
| AVOL |
Large Signal Voltage Gain |
VO = 0.5 to 2.2 V, RL = 10K to V− |
|
|
78 |
70 |
dB |
| −65°C ≤ TJ ≤ +150°C |
67 |
|
|
VO = 0.5 to 2.2 V, RL = 2K to V− |
|
|
73 |
67 |
dB |
| −65°C ≤ TJ ≤ +150°C |
63 |
|
|
| VO |
Output Swing High |
RL = 10K to V− |
|
|
2.59 |
2.49 |
V |
| −65°C ≤ TJ ≤ +150°C |
2.46 |
|
|
| RL = 2K to V− |
|
|
2.53 |
2.45 |
| −65°C ≤ TJ ≤ +150°C |
2.41 |
|
|
| Output Swing Low |
RL = 10K to V− |
|
|
90 |
100 |
mV |
| −65°C ≤ TJ ≤ +150°C |
|
|
120 |
| ISC |
Output Short Circuit Current |
Sourcing to V−
VID = 200 mV(6)(7) |
|
|
48 |
30 |
mA |
| −65°C ≤ TJ ≤ +150°C |
20 |
|
|
Sinking to V+
VID = −200 mV(6)(7) |
|
|
65 |
50 |
mA |
| −65°C ≤ TJ ≤ +150°C |
30 |
|
|
| IS |
Supply Current |
No load, VCM = 0.5 V |
|
|
0.95 |
1.20 |
mA |
| −65°C ≤ TJ ≤ +150°C |
|
|
1.50 |
| SR |
Slew Rate(8) |
AV = +1,VI = 2 VPP |
|
9 |
|
V/µs |
| fu |
Unity Gain-Frequency |
VI = 10 mV, RL = 2 KΩ to V+/2 |
|
10 |
|
MHz |
| GBWP |
Gain Bandwidth Product |
f = 50 KHz |
|
|
21 |
15.5 |
MHz |
| −65°C ≤ TJ ≤ +150°C |
14 |
|
|
| Phim |
Phase Margin |
VI = 10 mV |
|
50 |
|
Deg |
| en |
Input-Referred Voltage Noise |
f = 2 KHz, RS = 50 Ω |
|
15 |
|
nV/ √Hz |
| in |
Input-Referred Current Noise |
f = 2 KHz |
|
1 |
|
pA/ √Hz |
| fMAX |
Full Power Bandwidth |
ZL = (20 pF || 10 KΩ) to V+/2 |
|
1 |
|
MHz |
(1) Electrical Table values apply only for factory testing conditions at the temperature indicated. Factory testing conditions result in very limited self-heating of the device such that TJ = TA. No guarantee of parametric performance is indicated in the electrical tables under conditions of internal self heating where TJ > TA.
(2) Typical Values represent the most likely parametric norm.
(3) All limits are guaranteed by testing or statistical analysis.
(4) Offset voltage average drift determined by dividing the change in VOS at temperature extremes into the total temperature change.
(5) Positive current corresponds to current flowing into the device.
(6) Production Short Circuit test is a momentary test. See
Note 7.
(7) Allowable Output Short Circuit duration is infinite for VS ≤ 6V at room temperature and below. For VS > 6V, allowable short circuit duration is 1.5 ms.
(8) Slew rate is the slower of the rising and falling slew rates. Connected as a Voltage Follower.
6.6 Electrical Characteristics 5 V(1)
Unless otherwise specified, all limited guaranteed for TA = 25°C, V+ = 5 V, V− = 0 V, VCM = 1 V, VO = V+/2, and RL > 1 MΩ to V−.
|
PARAMETER |
TEST CONDITIONS |
MIN |
TYP(2) |
MAX(3) |
UNIT |
| VOS |
Input Offset Voltage |
VCM = 1 V & VCM = 4.5 V |
|
|
+/−0.7 |
+/−5 |
mV |
| −65°C ≤ TJ ≤ +150°C |
|
|
+/− 7 |
| TC VOS |
Input Offset Average Drift |
VCM = 1 V & VCM = 4.5 V(4) |
|
+/−2 |
|
µV/°C |
| IB |
Input Bias Current |
VCM = 1 V(5) |
|
|
−1.18 |
−2.00 |
µA |
| −65°C ≤ TJ ≤ +150°C |
|
|
−2.70 |
| VCM = 4.5 V(5) |
|
|
+0.49 |
+1.00 |
| −65°C ≤ TJ ≤ +150°C |
|
|
+1.60 |
| IOS |
Input Offset Current |
VCM = 1 V & VCM = 4.5 V |
|
|
20 |
250 |
nA |
| −65°C ≤ TJ ≤ +150°C |
|
|
400 |
| CMRR |
Common Mode Rejection Ratio |
VCM stepped from 0 V to 3.3 V |
|
|
110 |
84 |
dB |
| −65°C ≤ TJ ≤ +150°C |
72 |
|
|
VCM stepped from 4 V to 5 V |
|
100 |
|
VCM stepped from 0 V to 5 V |
|
|
80 |
64 |
| −65°C ≤ TJ ≤ +150°C |
61 |
|
|
| +PSRR |
Positive Power Supply Rejection Ratio |
V+ = 2.7 V to 5 V, VCM = 0.5 V |
|
|
104 |
78 |
dB |
| −65°C ≤ TJ ≤ +150°C |
74 |
|
|
| CMVR |
Input Common-Mode Voltage Range |
CMRR > 50 dB |
|
|
−0.3 |
−0.1 |
V |
| −65°C ≤ TJ ≤ +150°C |
|
|
0.0 |
|
|
5.3 |
5.1 |
V |
| −65°C ≤ TJ ≤ +150°C |
5.0 |
|
|
| AVOL |
Large Signal Voltage Gain |
VO = 0.5 to 4.5 V, RL = 10 K to V− |
|
|
84 |
74 |
dB |
| −65°C ≤ TJ ≤ +150°C |
70 |
|
|
VO = 0.5 to 4.5 V, RL = 2 K to V− |
|
|
80 |
70 |
| −65°C ≤ TJ ≤ +150°C |
66 |
|
|
| VO |
Output Swing High |
RL = 10 K to V− |
|
|
4.87 |
4.75 |
V |
| −65°C ≤ TJ ≤ +150°C |
4.72 |
|
|
| RL = 2 K to V− |
|
|
4.81 |
4.70 |
| −65°C ≤ TJ ≤ +150°C |
4.66 |
|
|
| Output Swing Low |
RL = 10 K to V− |
|
|
86 |
125 |
mV |
| −65°C ≤ TJ ≤ +150°C |
|
|
135 |
| ISC |
Output Short Circuit Current |
Sourcing to V−
VID = 200 mV(6)(7) |
|
|
53 |
35 |
mA |
| −65°C ≤ TJ ≤ +150°C |
20 |
|
|
Sinking to V+
VID = −200 mV(6)(7) |
|
|
75 |
60 |
| −65°C ≤ TJ ≤ +150°C |
50 |
|
|
| IS |
Supply Current |
No load, VCM = 1 V |
|
|
0.97 |
1.25 |
mA |
| −65°C ≤ TJ ≤ +150°C |
|
|
1.75 |
| SR |
Slew Rate(8) |
AV = +1, VI = 5 VPP |
|
|
12 |
10 |
V/µs |
| −65°C ≤ TJ ≤ +150°C |
7 |
|
|
| fu |
Unity Gain Frequency |
VI = 10 mV, RL = 2 KΩ to V+/2 |
|
10.5 |
|
MHz |
| GBWP |
Gain-Bandwidth Product |
f = 50 KHz |
|
|
21 |
16 |
MHz |
| −65°C ≤ TJ ≤ +150°C |
15 |
|
|
| Phim |
Phase Margin |
VI = 10 mV |
|
53 |
|
Deg |
| en |
Input-Referred Voltage Noise |
f = 2 KHz, RS = 50 Ω |
|
15 |
|
nV/ √hZ |
| in |
Input-Referred Current Noise |
f = 2 KHz |
|
1 |
|
pA/ √hZ |
| fMAX |
Full Power Bandwidth |
ZL = (20 pF || 10 kΩ) to V+/2 |
|
900 |
|
KHz |
| tS |
Settling Time (±5%) |
100 mVPP Step, 500 pF load |
|
400 |
|
ns |
| THD+N |
Total Harmonic Distortion + Noise |
RL = 1 KΩ to V+/2 f = 10 KHz to AV= +2, 4 VPP swing |
|
0.05% |
|
|
(1) Electrical Table values apply only for factory testing conditions at the temperature indicated. Factory testing conditions result in very limited self-heating of the device such that TJ = TA. No guarantee of parametric performance is indicated in the electrical tables under conditions of internal self heating where TJ > TA.
(2) Typical Values represent the most likely parametric norm.
(3) All limits are guaranteed by testing or statistical analysis.
(4) Offset voltage average drift determined by dividing the change in VOS at temperature extremes into the total temperature change.
(5) Positive current corresponds to current flowing into the device.
(6) Production Short Circuit test is a momentary test. See
Note 7.
(7) Allowable Output Short Circuit duration is infinite for VS ≤ 6V at room temperature and below. For VS > 6V, allowable short circuit duration is 1.5ms.
(8) Slew rate is the slower of the rising and falling slew rates. Connected as a Voltage Follower.
6.7 Electrical Characteristics ±15 V(7)
Unless otherwise specified, all limited guaranteed for TA = 25°C, V+ = 15 V, V− = −15 V, VCM = 0 V, VO = 0 V, and RL > 1 MΩ to 0 V.
|
PARAMETER |
TEST CONDITIONS |
MIN |
TYP(1) |
MAX(2) |
UNIT |
| VOS |
Input Offset Voltage |
VCM = −14.5 V & VCM = 14.5 V |
|
|
+/−0.7 |
+/−7 |
mV |
| −65°C ≤ TJ ≤ +150°C |
|
|
+/− 9 |
| TC VOS |
Input Offset Average Drift |
VCM = −14.5 V & VCM = 14.5 V(6) |
|
+/−2 |
|
µV/°C |
| IB |
Input Bias Current |
VCM = −14.5 V(3) |
|
|
−1.05 |
−2.00 |
µA |
| −65°C ≤ TJ ≤ +150°C |
|
|
−2.80 |
| VCM = 14.5 V(3) |
|
|
+0.49 |
+1.00 |
| −65°C ≤ TJ ≤ +150°C |
|
|
+1.50 |
| IOS |
Input Offset Current |
VCM = −14.5 V & VCM = 14.5 V |
|
|
30 |
275 |
nA |
| −65°C ≤ TJ ≤ +150°C |
|
|
550 |
| CMRR |
Common Mode Rejection Ratio |
VCM stepped from −15 V to 13 V |
|
|
100 |
84 |
dB |
| −65°C ≤ TJ ≤ +150°C |
80 |
|
|
| VCM stepped from 14 V to 15 V |
|
100 |
|
| VCM stepped from −15 V to 15 V |
|
|
88 |
74 |
| −65°C ≤ TJ ≤ +150°C |
72 |
|
|
| +PSRR |
Positive Power Supply Rejection Ratio |
V+ = 12 V to 15 V |
|
|
100 |
70 |
dB |
| −65°C ≤ TJ ≤ +150°C |
66 |
|
|
| −PSRR |
Negative Power Supply Rejection Ratio |
V− = −12 V to −15 V |
|
|
100 |
70 |
dB |
| −65°C ≤ TJ ≤ +150°C |
66 |
|
|
| CMVR |
Input Common-Mode Voltage Range |
CMRR > 50 dB |
|
|
−15.3 |
−15.1 |
V |
| −65°C ≤ TJ ≤ +150°C |
|
|
−15.0 |
|
|
15.3 |
15.1 |
V |
| −65°C ≤ TJ ≤ +150°C |
15.0 |
|
|
| AVOL |
Large Signal Voltage Gain |
VO = 0 V to ±13 V, RL = 10 KΩ |
|
|
85 |
78 |
dB |
| −65°C ≤ TJ ≤ +150°C |
74 |
|
|
VO = 0 V to ±13 V, RL = 2 KΩ |
|
|
79 |
72 |
| −65°C ≤ TJ ≤ +150°C |
66 |
|
|
| VO |
Output Swing High |
RL = 10 KΩ |
|
|
14.83 |
14.65 |
V |
| −65°C ≤ TJ ≤ +150°C |
14.61 |
|
|
| RL = 2 KΩ |
|
|
14.73 |
14.60 |
| −65°C ≤ TJ ≤ +150°C |
14.55 |
|
|
| Output Swing Low |
RL = 10 KΩ |
|
|
−14.91 |
−14.75 |
V |
| −65°C ≤ TJ ≤ +150°C |
|
|
−14.65 |
| RL = 2 KΩ |
|
|
−14.83 |
−14.65 |
| −65°C ≤ TJ ≤ +150°C |
|
|
−14.60 |
| ISC |
Output Short Circuit Current |
Sourcing to ground VID = 200 mV(5)(5) |
|
|
60 |
40 |
mA |
| −65°C ≤ TJ ≤ +150°C |
25 |
|
|
Sinking to ground VID = 200 mV(5)(5) |
|
|
100 |
70 |
| −65°C ≤ TJ ≤ +150°C |
60 |
|
|
| IS |
Supply Current |
No load, VCM = 0 V |
|
|
1.30 |
1.50 |
mA |
| −65°C ≤ TJ ≤ +150°C |
|
|
1.90 |
| SR |
Slew Rate(4) |
AV = +1, VI = 24 VPP |
|
|
15 |
10 |
V/µs |
| −65°C ≤ TJ ≤ +150°C |
8 |
|
|
| fu |
Unity Gain Frequency |
VI = 10 mV, RL = 2 KΩ |
|
14 |
|
MHz |
| GBWP |
Gain-Bandwidth Product |
f = 50 KHz |
|
|
24 |
18 |
MHz |
| −65°C ≤ TJ ≤ +150°C |
16 |
|
|
| Phim |
Phase Margin |
VI = 10 mV |
|
58 |
|
Deg |
| en |
Input-Referred Voltage Noise |
f = 2 KHz, RS = 50 Ω |
|
15 |
|
nV/ √hZ |
| in |
Input-Referred Current Noise |
f = 2 KHz |
|
1 |
|
pA/ √hZ |
| fMAX |
Full Power Bandwidth |
ZL = 20 pF || 10 KΩ |
|
160 |
|
KHz |
| ts |
Settling Time (±1%, AV = +1) |
Positive Step, 5 VPP |
|
320 |
|
ns |
| Negative Step, 5 VPP |
|
600 |
|
| THD+N |
Total Harmonic Distortion +Noise |
RL = 1 KΩ, f = 10 KHz, AV = +2, 28VPP swing |
|
0.01% |
|
|
(1) Typical Values represent the most likely parametric norm.
(2) All limits are guaranteed by testing or statistical analysis.
(3) Positive current corresponds to current flowing into the device.
(4) Slew rate is the slower of the rising and falling slew rates. Connected as a Voltage Follower.
(5) Production Short Circuit test is a momentary test. See
Note 7.
(6) Offset voltage average drift determined by dividing the change in VOS at temperature extremes into the total temperature change.
(7) Electrical Table values apply only for factory testing conditions at the temperature indicated. Factory testing conditions result in very limited self-heating of the device such that TJ = TA. No guarantee of parametric performance is indicated in the electrical tables under conditions of internal self heating where TJ > TA.
6.8 Typical Characteristics
TA = 25°C, Unless Otherwise Noted
Figure 1. VOS vs. VCM for 3 Representative Units
Figure 3. VOS vs. VCM for 3 Representative Units
Figure 5. VOS vs. VS for 3 Representative Units
Figure 2. VOS vs. VCM for 3 Representative Units
Figure 4. VOS vs. VS for 3 Representative Units
Figure 6. VOS vs. VS for 3 Representative Units
Figure 7. IB vs. VCM
Figure 9. IS vs. VCM
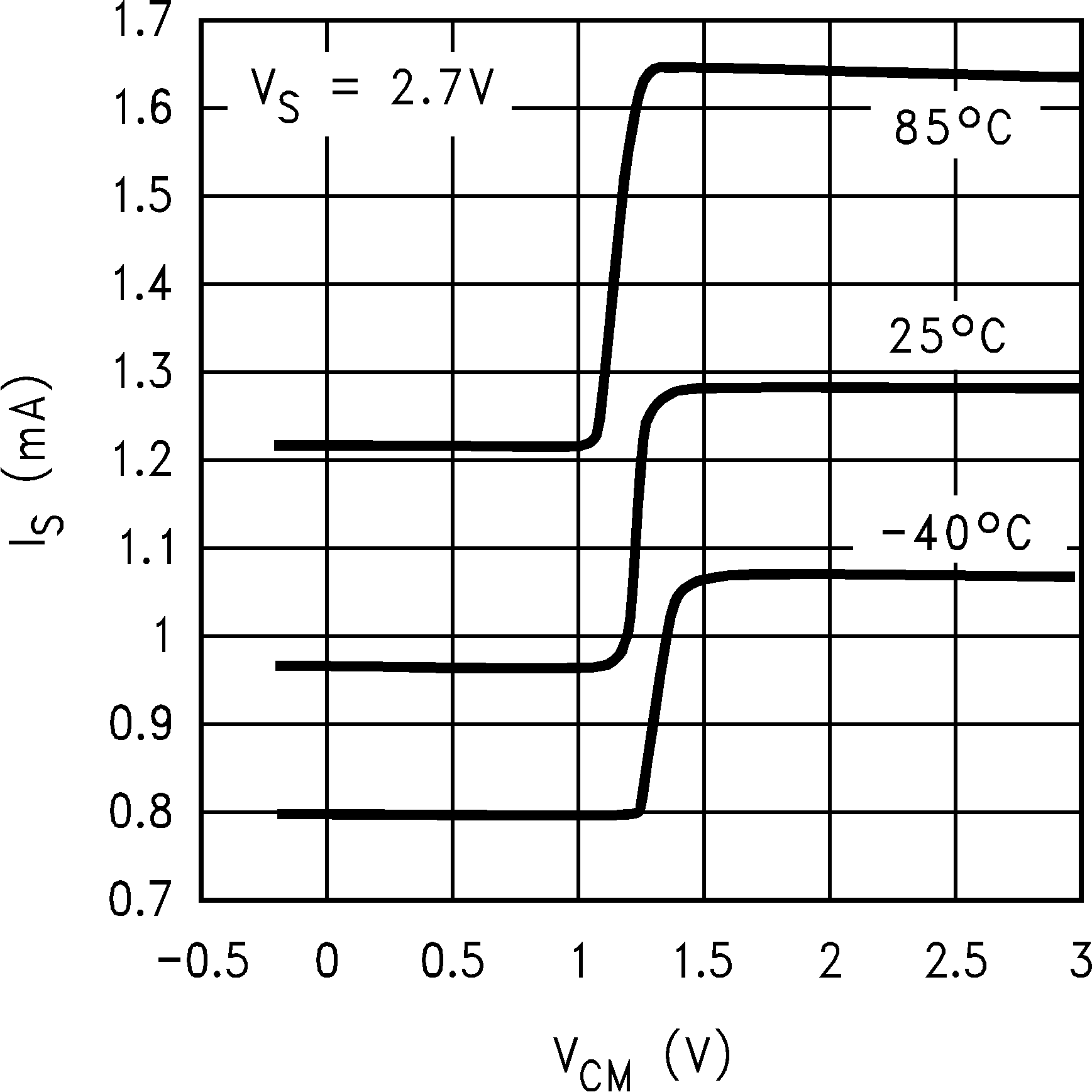
Figure 11. IS vs. VCM
Figure 8. IB vs. VS
Figure 10. IS vs. VCM
Figure 12. IS vs. VS (PNP side)
Figure 13. IS vs. VS (NPN side)
Figure 15. Unity Gain Frequency vs. VS
Figure 17. Unity Gain Freq. and Phase Margin vs. VS
Figure 14. Gain/Phase vs. Frequency
Figure 16. Phase Margin vs. VS
Figure 18. Unity Gain Frequency vs. Load
Figure 19. Phase Margin vs. Load
Figure 21. CMRR vs. Frequency
Figure 23. −PSRR vs. Frequency
Figure 20. Unity Gain Freq. and Phase Margin vs. CL
Figure 22. +PSRR vs. Frequency
Figure 24. Output Voltage vs. Output Sourcing Current
Figure 25. Output Voltage vs. Output Sourcing Current
Figure 27. Max Output Swing vs. Load
Figure 29. % Overshoot vs. Cap Load
Figure 26. Output Voltage vs. Output Sinking Current
Figure 28. Max Output Swing vs. Frequency
Figure 30. ±5% Settling Time vs. Cap Load
Figure 31. +SR vs. Cap Load
Figure 33. +SR vs. Cap Load
Figure 35. Settling Time vs. Error Voltage
Figure 32. −SR vs. Cap Load
Figure 34. −SR vs. Cap Load
Figure 36. Settling Time vs. Error Voltage
Figure 37. Input Noise Voltage/Current vs. Frequency
Figure 39. Input Noise Current for Various VCM
Figure 41. Input Noise Current vs. VCM
Figure 38. Input Noise Voltage for Various VCM
Figure 40. Input Noise Voltage vs. VCM
Figure 42. THD+N vs. Frequency
Figure 43. THD+N vs. Frequency
Figure 45. THD+N vs. Amplitude
Figure 47. Small Signal Step Response
Figure 44. THD+N vs. Frequency
Figure 46. THD+N vs. Amplitude
Figure 48. Large Signal Step Response