ZHCSOL6 August 2022 ADS131M02-Q1
PRODUCTION DATA
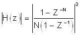
Equation 6 calculates the z-domain transfer function of a sinc3 filter that is used for OSRs of 1024 and lower.

where N is the OSR.
Equation 7 calculates the transfer function of a sinc3 filter in terms of the continuous-time frequency parameter f.

where N is the OSR.
Figure 8-4 and Figure 8-5 show the digital filter response of the fast-settling filter and the sinc3 filter for OSRs of 1024 and lower. Figure 8-6 and Figure 8-7 show the digital filter response of the sinc3 + sinc1 filter for an OSR of 4096.
Figure 8-4 Fast-Settling and
Sinc3 Digital Filter Response
Figure 8-6 Digital Filter Response for OSR
= 1024 and OSR = 4096
Figure 8-5 Fast-Settling and
Sinc3 Digital Filter Response,
Pass-Band Detail
Figure 8-7 Digital Filter Response for OSR
= 1024 and OSR = 4096, Pass-Band Detail