ZHCSCC8E March   2014  – July 2018 TPS92601-Q1 , TPS92602-Q1

UNLESS OTHERWISE NOTED, this document contains PRODUCTION DATA.  

  1. 特性
  2. 应用范围
  3. 说明
    1.     Device Images
      1. 3.1 典型电路原理图
  4. 修订历史记录
  5. Pin Configuration and Functions
    1.     Pin Functions
  6. Specifications
    1. 6.1 Absolute Maximum Ratings
    2. 6.2 ESD Ratings
    3. 6.3 Recommended Operating Conditions
    4. 6.4 Thermal Information
    5. 6.5 Electrical Characteristics
    6. 6.6 Typical Characteristics
  7. Detailed Description
    1. 7.1 Overview
    2. 7.2 Functional Block Diagram
    3. 7.3 Feature Description
      1. 7.3.1 Fixed-Frequency PWM Control
      2. 7.3.2 Slope-Compensation Output Current
      3. 7.3.3 Boost-Current Limit
      4. 7.3.4 Oscillator and PLL
      5. 7.3.5 Control Loop Compensation
      6. 7.3.6 LED Open-Circuit Detection
      7. 7.3.7 Output Short-Circuit and Overcurrent Detection
      8. 7.3.8 Measuring LED Current During a Non-Failure Condition
      9. 7.3.9 LED Dimming Options
        1. 7.3.9.1 Analog Dimming
        2. 7.3.9.2 PWM Dimming
    4. 7.4 Device Functional Modes
      1. 7.4.1 Undervoltage and Overvoltage Shutdown
      2. 7.4.2 Overtemperature Shutdown
      3. 7.4.3 Device State Diagram
  8. Application and Implementation
    1. 8.1 Application Information
    2. 8.2 Typical Applications
      1. 8.2.1 Boost Regulator With Separate or Paralleled Channels
        1. 8.2.1.1 Design Requirements
        2. 8.2.1.2 Detailed Design Procedure
          1. 8.2.1.2.1  Switching Frequency
          2. 8.2.1.2.2  Maximum Output-Current Set Point
          3. 8.2.1.2.3  Output Overvoltage-Protection Set Point
          4. 8.2.1.2.4  Duty Cycle Estimation
          5. 8.2.1.2.5  Inductor Selection
          6. 8.2.1.2.6  Rectifier Diode Selection
          7. 8.2.1.2.7  Output Capacitor Selection
          8. 8.2.1.2.8  Input Capacitor Selection
          9. 8.2.1.2.9  Current Sense and Current Limit
          10. 8.2.1.2.10 Switching MOSFET Selection
          11. 8.2.1.2.11 Loop Compensation
        3. 8.2.1.3 Application Curves
      2. 8.2.2 Boost-to-Battery Regulator
        1. 8.2.2.1 Design Requirements
        2. 8.2.2.2 Detailed Design Procedure
          1. 8.2.2.2.1  Switching Frequency
          2. 8.2.2.2.2  Maximum Output-Current Set Point
          3. 8.2.2.2.3  Output Overvoltage-Protection Set Point
          4. 8.2.2.2.4  Duty Cycle Estimation
          5. 8.2.2.2.5  Inductor Selection
          6. 8.2.2.2.6  Rectifier Diode Selection
          7. 8.2.2.2.7  Output Capacitor Selection
          8. 8.2.2.2.8  Input Capacitor Selection
          9. 8.2.2.2.9  Current Sense and Current Limit
          10. 8.2.2.2.10 Switching MOSFET Selection
          11. 8.2.2.2.11 Loop Compensation
        3. 8.2.2.3 TPS92602y-Q1 Application Curves
  9. Power Supply Recommendations
  10. 10Layout
    1. 10.1 Layout Guidelines
    2. 10.2 Layout Example
  11. 11器件和文档支持
    1. 11.1 相关链接
    2. 11.2 商标
    3. 11.3 静电放电警告
    4. 11.4 术语表
  12. 12机械、封装和可订购信息

Inductor Selection

The peak-to-peak ripple is limited to 30% of the maximum output current.

Equation 51. TPS92601-Q1 TPS92602-Q1 eq44_Ilrip_SLUSBP5.gif

Estimate the minimum inductor size using Equation 52

Equation 52. TPS92601-Q1 TPS92602-Q1 eq15_Lmin_SLUSBP5.gif

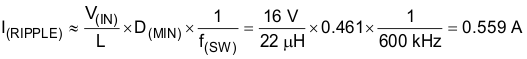
Select the nearest higher standard inductor value of 22 µH. Estimate the ripple current using Equation 53.

Equation 53. TPS92601-Q1 TPS92602-Q1 eq45_Iripple_SLUSBP5.gif
Equation 54. TPS92601-Q1 TPS92602-Q1 eq46_Iripmin_SLUSBP5.gif

The worst-case peak-to-peak ripple current occurs at 46.1% duty cycle and is estimated as 0.559 A. Equation 55 estimates the worst-case rms current through the inductor.

Equation 55. TPS92601-Q1 TPS92602-Q1 eq47_ILrms_SLUSBP5.gif

The worst-case rms inductor current is 3.28 A rms. Equation 56 estimates the peak inductor current.

Equation 56. TPS92601-Q1 TPS92602-Q1 eq48_ILpeak_SLUSBP5.gif

Select a 22-µH inductor with a minimum rms current rating of 3.44 A and minimum saturation current rating of 3.44 A. The selection is a Wurth 7447709220 inductor (shielded-drum core, ferrite, 22 µH, 5.3 A, 0.0233 Ω, SMD).

Equation 57 estimates the power dissipation of this inductor

Equation 57. TPS92601-Q1 TPS92602-Q1 eq20_PL_SLUSBP5.gif

The Wurth 7447709220 inductor with 23.3-mΩ DCR dissipates 251 mW of power.