TIDT352 October   2023

 

  1.   1
  2.   Description
  3.   Features
  4.   Applications
  5. 1Test Prerequisites
    1. 1.1 Voltage and Current Requirements
    2. 1.2 Required Equipment
    3. 1.3 Considerations
    4. 1.4 Dimensions
    5. 1.5 Test Setup
  6. 2Testing and Results
    1. 2.1 Efficiency Graphs
    2. 2.2 Efficiency Data
    3. 2.3 Thermal Images
    4. 2.4 Bode Plots
  7. 3Waveforms
    1. 3.1 Switching
    2. 3.2 Load Transients
    3. 3.3 Start-Up and Shutdown Sequences

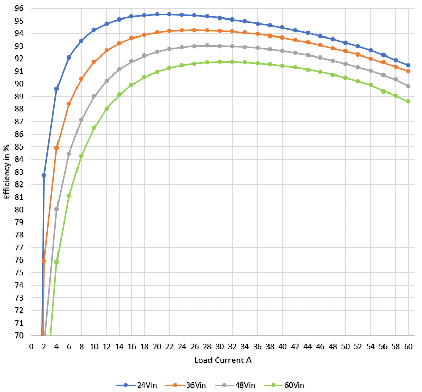
Efficiency Graphs

The efficiency of the system is demonstrated across an input voltage range of 24 V to 60 V.

According to Figure 3-15, when operating at full 60-A load, the efficiency is within the range of 89% to 92%.

The efficiency graph is derived from the conversion loss vs load current graph (Figure 2-2), which also spans over the same 24-V to 60-V input range. The no load loss varies from under 2 W when the input voltage is 24 V, increasing to just under 5 W when the input voltage reaches 60 V. The range of full load loss extends from 29.7 W at 36-V input to 36.4 W at 60-V input.

GUID-20230815-SS0I-PSWH-T0TR-04DJJQRXGXF0-low.pngFigure 2-1 5 V, 2-Phase Conversion Efficiency
GUID-20230816-SS0I-99C9-C514-SGWWQ6SXPL0D-low.pngFigure 2-2 5 V, 2-Phase Conversion Losses